Официальное опубликование правовых актов
ОФИЦИАЛЬНОЕ ОПУБЛИКОВАНИЕ
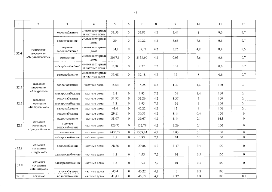
Постановление Губернатора Забайкальского края от 27.11.2015 № 109
"О предельных (максимальных) индексах изменения размера вносимой гражданами платы за коммунальные услуги в муниципальных образованиях Забайкальского края на 2016-2018 годы"
Номер опубликования: 7500201512030001
Дата опубликования: 03.12.2015
Страница №67 из 76:
Увеличить