Постановление Правительства Забайкальского края от 14.05.2015 № 222
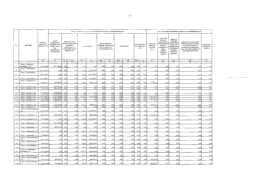
"О внесении изменений в постановление Правительства Забайкальского края от 30 июня 2014 года № 374 "Об утверждении Регионального краткосрочного плана реализации Региональной программы капитального ремонта общего имущества в многоквартирных домах, расположенных на территории Забайкальского края, на 2014–2015 годы"
"О внесении изменений в постановление Правительства Забайкальского края от 30 июня 2014 года № 374 "Об утверждении Регионального краткосрочного плана реализации Региональной программы капитального ремонта общего имущества в многоквартирных домах, расположенных на территории Забайкальского края, на 2014–2015 годы"
Номер опубликования: 7500201505200001
Дата опубликования:
20.05.2015
