Официальное опубликование правовых актов
ОФИЦИАЛЬНОЕ ОПУБЛИКОВАНИЕ
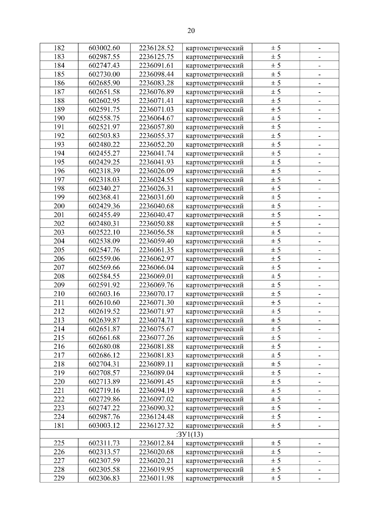
Приказ Главного управления лесами Челябинской области от 22.12.2025 № 1375
"Об утверждении проектной документации по изменению границ земель, на которых расположены леса, расположенные в лесопарковых зонах Миасского и Уфалейского лесничеств"
(Зарегистрирован 23.12.2025 № 1300)
Номер опубликования: 7401202512230001
Дата опубликования: 23.12.2025
Страница №23 из 33:
Увеличить