Официальное опубликование правовых актов
ОФИЦИАЛЬНОЕ ОПУБЛИКОВАНИЕ
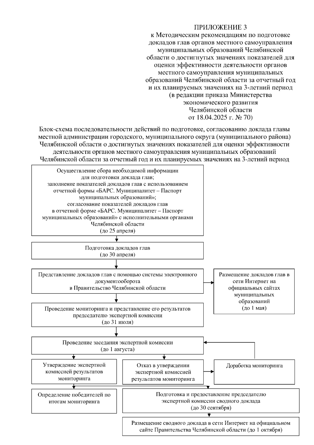
Приказ Министерства экономического развития Челябинской области от 18.04.2025 № 70
"О внесении изменений в приказ Министерства экономического развития Челябинской области от 11.04.2023 г. № 42"
(Зарегистрирован 21.04.2025 № 84)
Номер опубликования: 7401202504220001
Дата опубликования: 22.04.2025
Страница №7 из 46:
Увеличить