Официальное опубликование правовых актов
ОФИЦИАЛЬНОЕ ОПУБЛИКОВАНИЕ
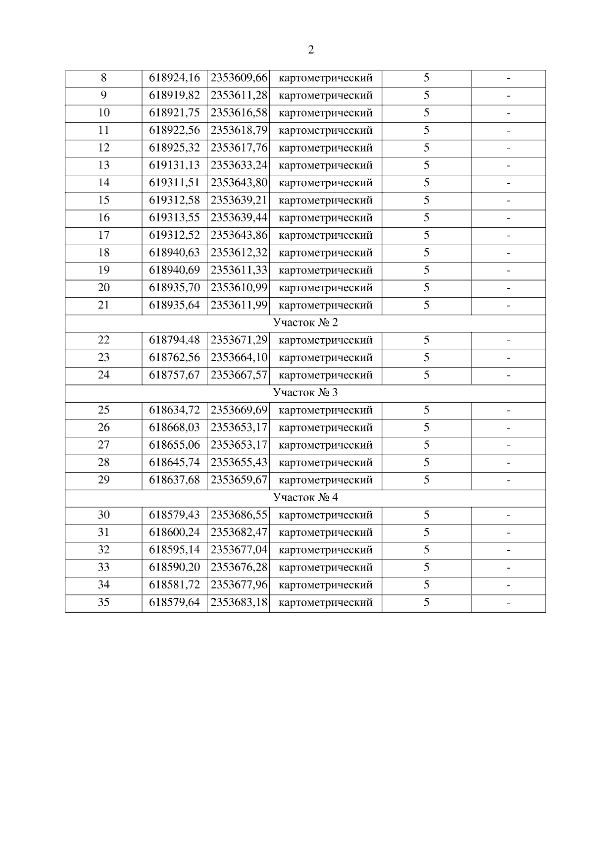
Приказ Главного управления лесами Челябинской области от 12.12.2024 № 1084
"Об установлении площадей и границ земель, на которых расположены леса, расположенные в лесопарковых и зеленых зонах Красноармейского и Миасского лесничеств"
(Зарегистрирован 13.12.2024 № 1266)
Номер опубликования: 7401202412130001
Дата опубликования: 13.12.2024
Страница №4 из 11:
Увеличить