Официальное опубликование правовых актов
ОФИЦИАЛЬНОЕ ОПУБЛИКОВАНИЕ
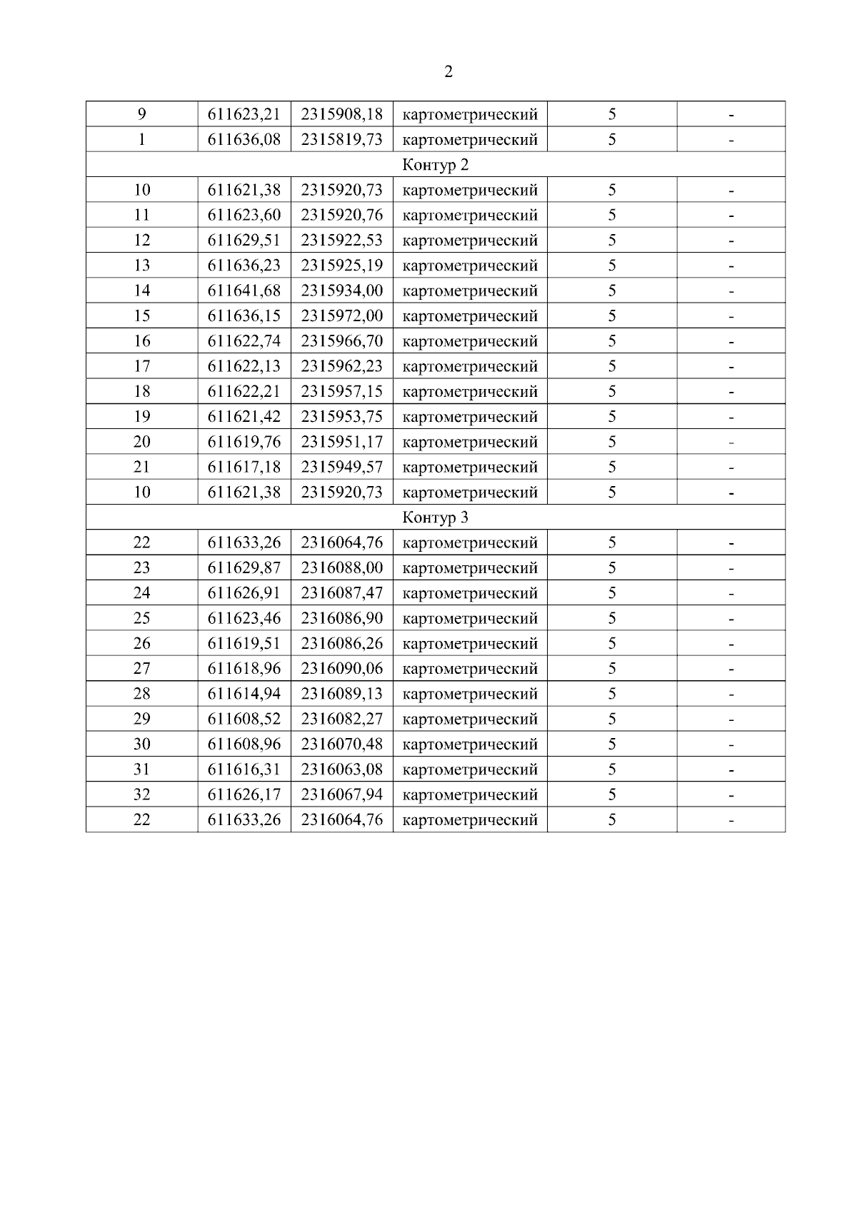
Приказ Главного управления лесами Челябинской области от 31.05.2024 № 401
"Об установлении площадей и границ земель, на которых расположены леса, расположенные в лесопарковых зонах Шершневского и Кунашакского лесничеств"
(Зарегистрирован 03.06.2024 № 107)
Номер опубликования: 7401202406050002
Дата опубликования: 05.06.2024
Страница №4 из 11:
Увеличить