Официальное опубликование правовых актов
ОФИЦИАЛЬНОЕ ОПУБЛИКОВАНИЕ
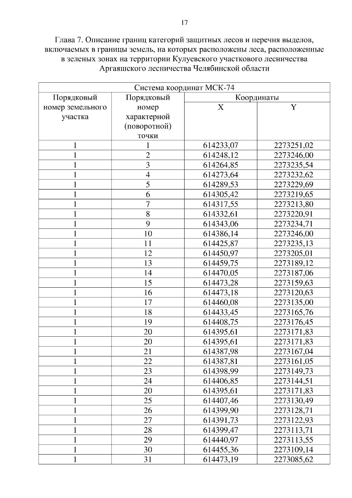
Приказ Главного управления лесами Челябинской области от 02.02.2024 № 63
"Об изменении границ земель, на которых расположены леса, расположенные в зеленых зонах Кыштымского и Аргаяшского лесничеств"
(Зарегистрирован 05.02.2024 № 11)
Номер опубликования: 7401202402050002
Дата опубликования: 05.02.2024
Страница №19 из 20:
Увеличить