Официальное опубликование правовых актов
ОФИЦИАЛЬНОЕ ОПУБЛИКОВАНИЕ
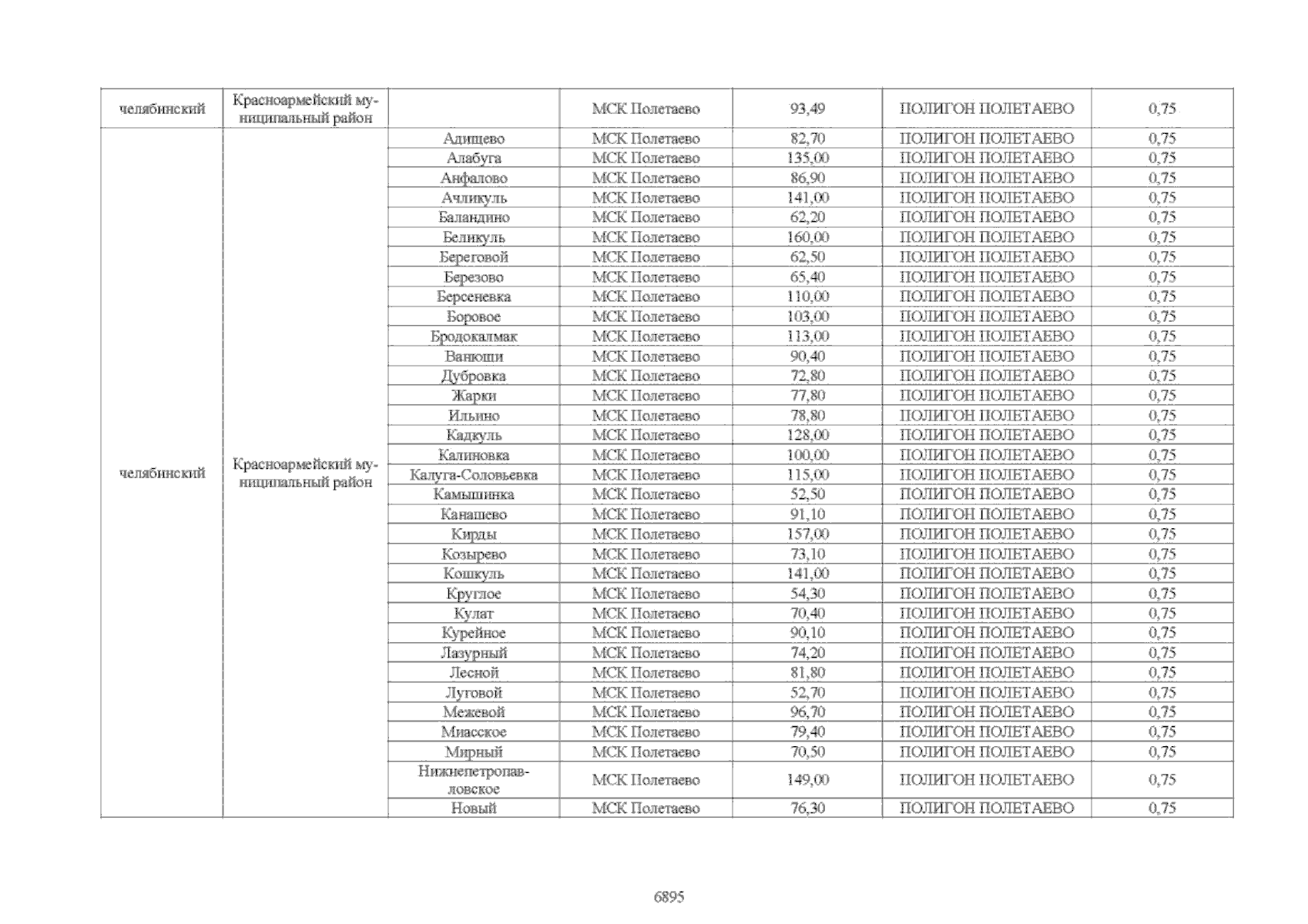
Приказ Министерства экологии Челябинской области от 23.11.2023 № 642
"О внесении изменений в приказ Министерства экологии Челябинской области от 24.12.2018 г. №1562"
(Зарегистрирован 27.11.2023 № 496)
Номер опубликования: 7401202312050012
Дата опубликования: 05.12.2023
Страница №6895 из 7013:
Увеличить