Официальное опубликование правовых актов
ОФИЦИАЛЬНОЕ ОПУБЛИКОВАНИЕ
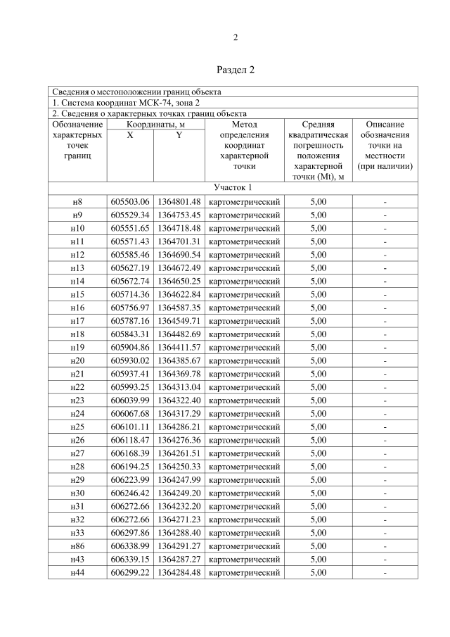
Приказ Главного управления лесами Челябинской области от 05.04.2023 № 209
"Об установлении площадей и границ земель, на которых расположены леса, расположенные в лесопарковых и зеленых зонах Саткинского лесничества"
(Зарегистрирован 06.04.2023 № 84)
Номер опубликования: 7401202304060002
Дата опубликования: 06.04.2023
Страница №3 из 12:
Увеличить