Официальное опубликование правовых актов
ОФИЦИАЛЬНОЕ ОПУБЛИКОВАНИЕ
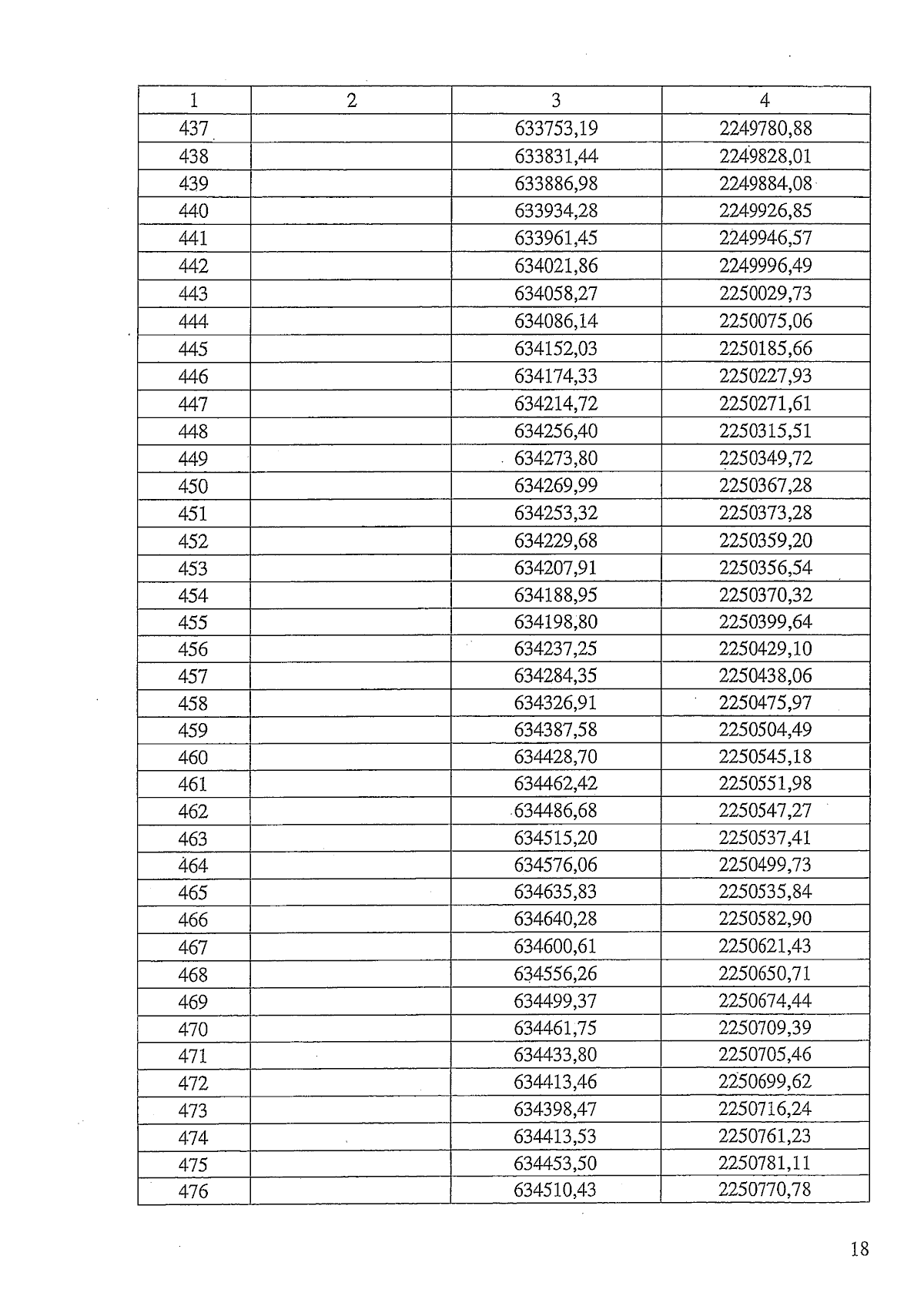
Закон Челябинской области от 29.12.2025 № 216-ЗО
"О внесении изменений в Закон Челябинской области "О статусе и границах Карабашского городского округа Челябинской области"
Номер опубликования: 7400202512290004
Дата опубликования: 29.12.2025
Страница №18 из 68:
Увеличить