Официальное опубликование правовых актов
ОФИЦИАЛЬНОЕ ОПУБЛИКОВАНИЕ
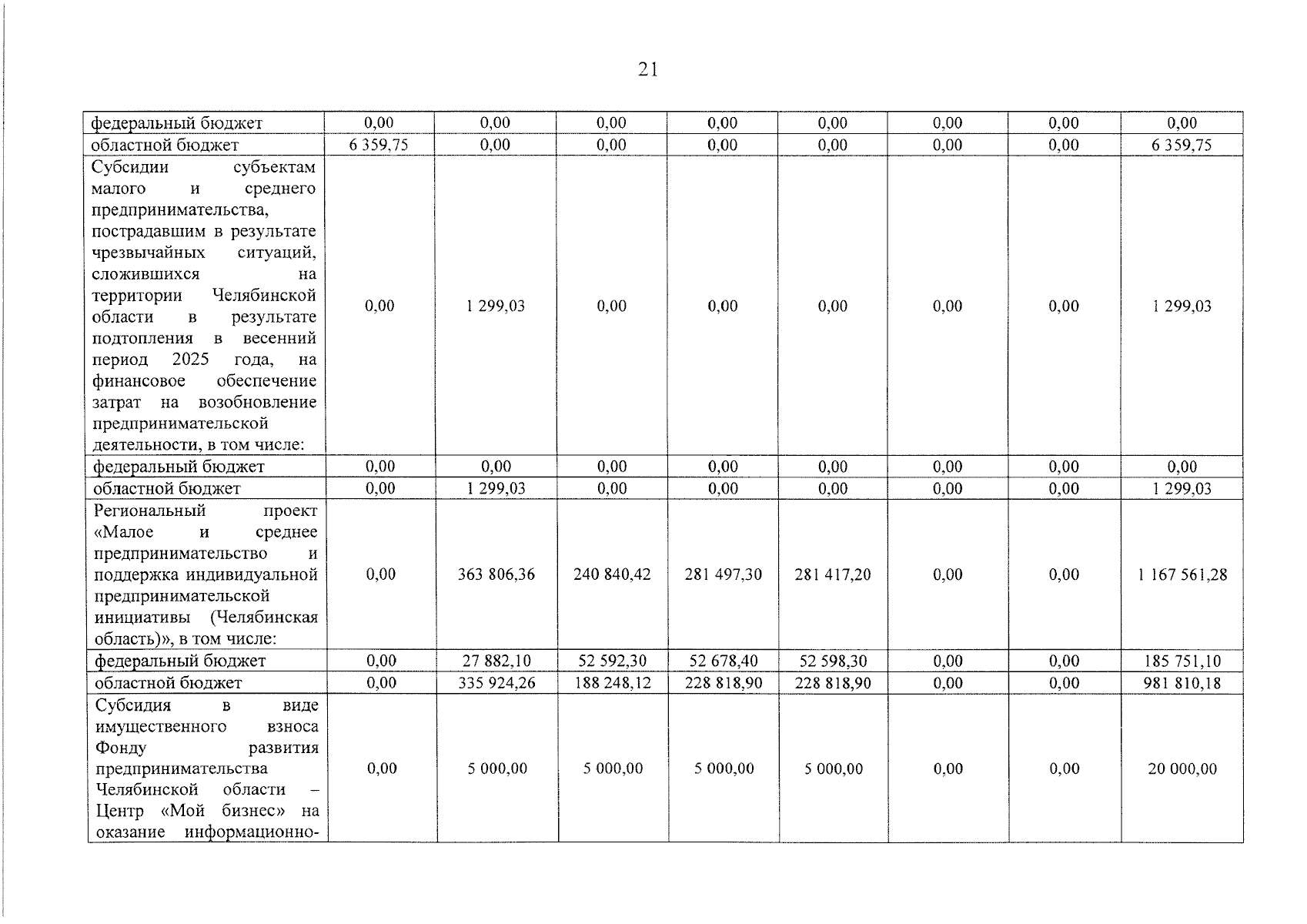
Постановление Правительства Челябинской области от 25.12.2025 № 847-П
"О внесении изменений в постановление Правительства Челябинской области от 12.11.2020 г. № 577-П"
Номер опубликования: 7400202512250004
Дата опубликования: 25.12.2025
Страница №22 из 35:
Увеличить