Официальное опубликование правовых актов
ОФИЦИАЛЬНОЕ ОПУБЛИКОВАНИЕ
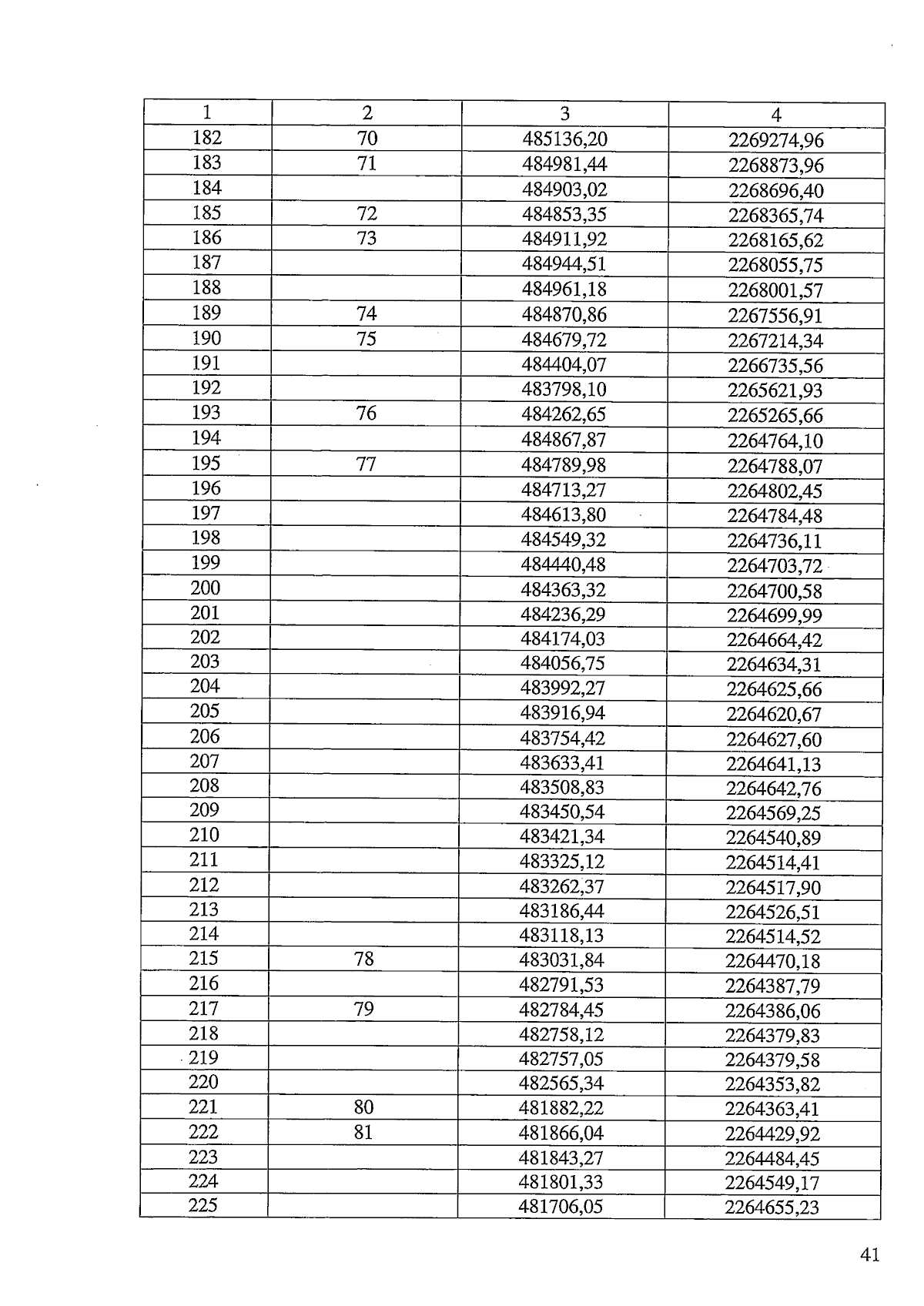
Закон Челябинской области от 04.09.2025 № 150-ЗО
"О внесении изменений в некоторые законы Челябинской области"
Номер опубликования: 7400202509040006
Дата опубликования: 04.09.2025
Страница №41 из 68:
Увеличить