Официальное опубликование правовых актов
ОФИЦИАЛЬНОЕ ОПУБЛИКОВАНИЕ
Закон Челябинской области от 02.07.2025 № 123-ЗО
"О внесении изменений в некоторые законы Челябинской области"
Номер опубликования: 7400202507030015
Дата опубликования: 03.07.2025
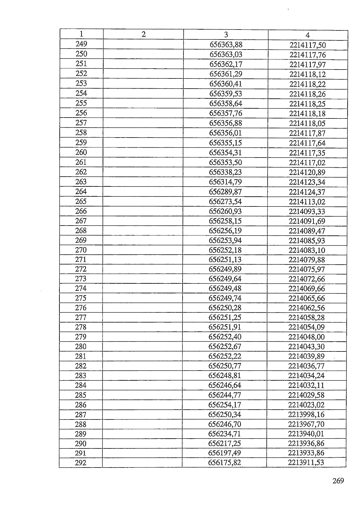
Страница №269 из 272:
Увеличить