Официальное опубликование правовых актов
ОФИЦИАЛЬНОЕ ОПУБЛИКОВАНИЕ
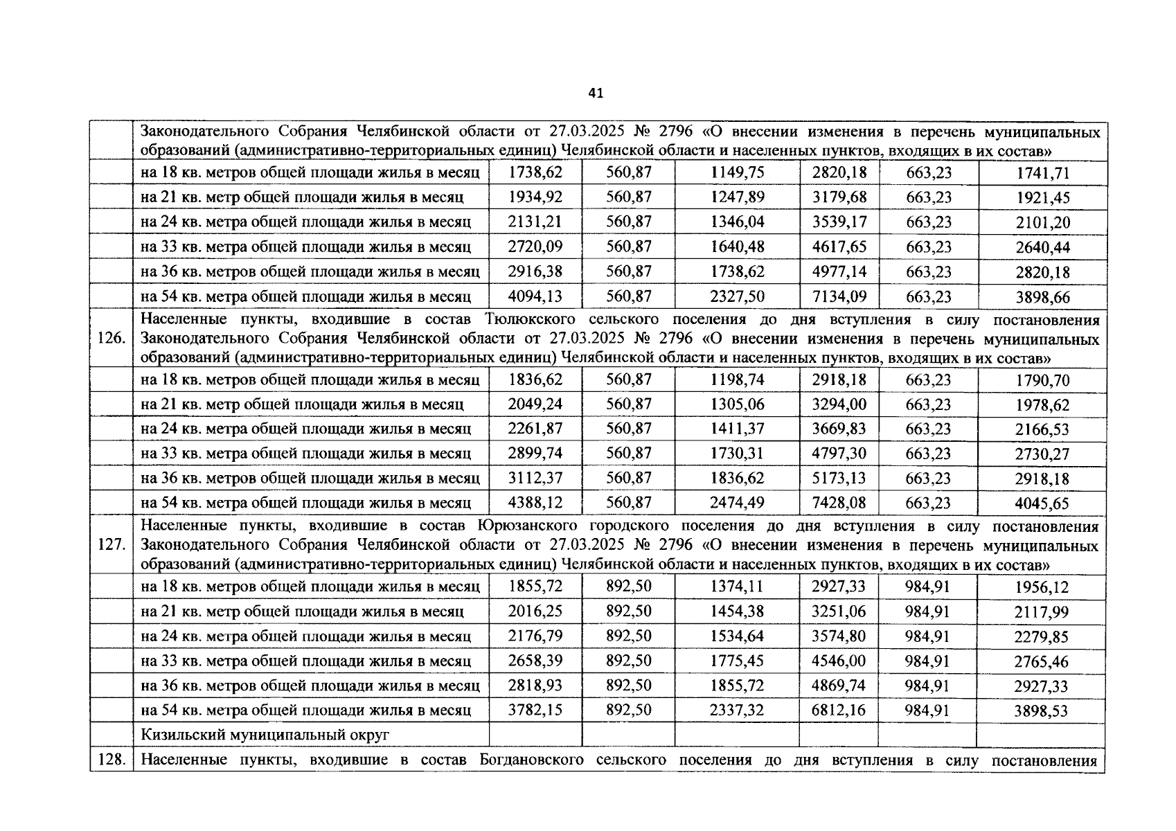
Постановление Правительства Челябинской области от 27.06.2025 № 501-П
"О региональных стандартах стоимости жилищно-коммунальных услуг по Челябинской области на 2025 год"
Номер опубликования: 7400202506300019
Дата опубликования: 30.06.2025
Страница №304 из 350:
Увеличить