Официальное опубликование правовых актов
ОФИЦИАЛЬНОЕ ОПУБЛИКОВАНИЕ
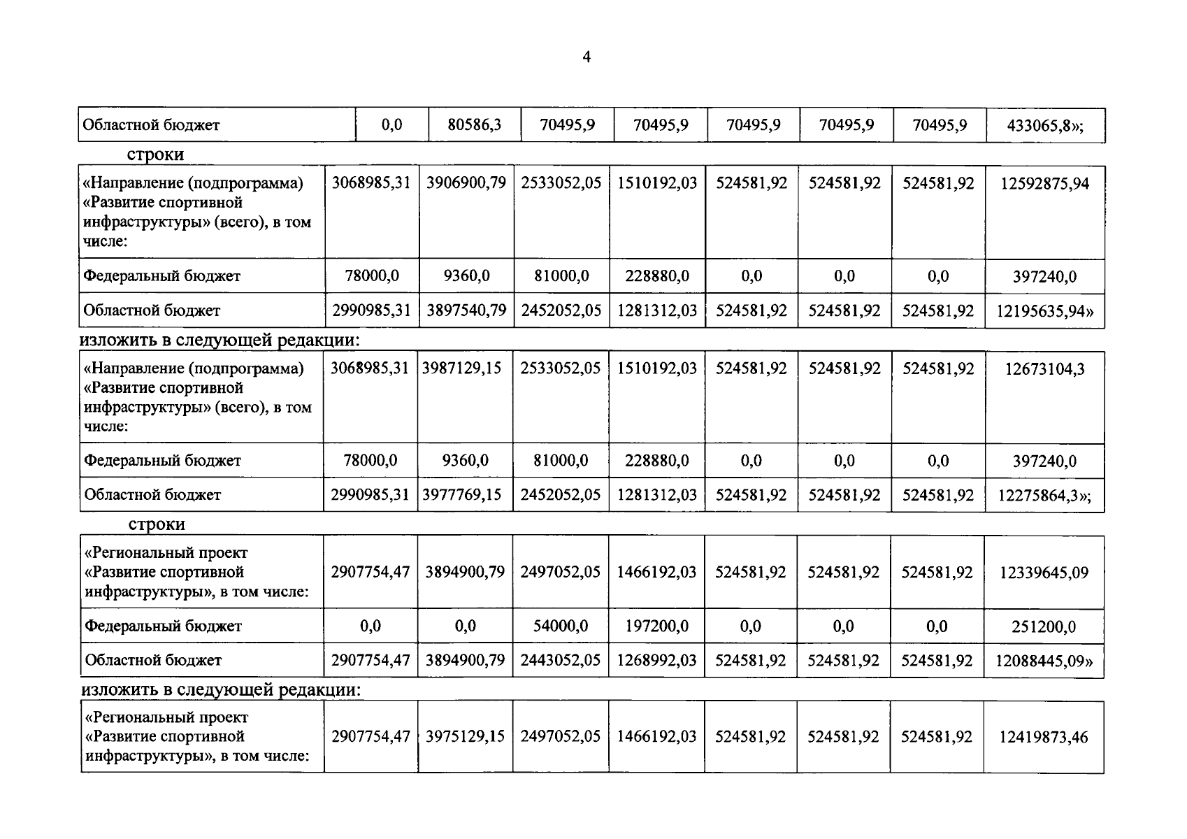
Постановление Правительства Челябинской области от 14.05.2025 № 394-П
"О внесении изменений в постановление Правительства Челябинской области от 25.12.2020 г. № 733-П"
Номер опубликования: 7400202505150001
Дата опубликования: 15.05.2025
Страница №5 из 15:
Увеличить