Официальное опубликование правовых актов
ОФИЦИАЛЬНОЕ ОПУБЛИКОВАНИЕ
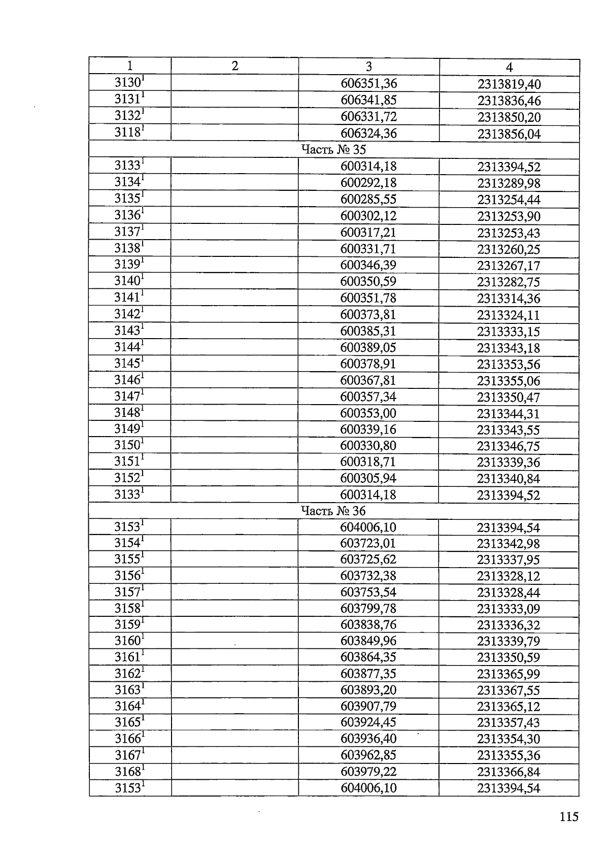
Закон Челябинской области от 25.04.2025 № 71-ЗО
"О внесении изменений в Закон Челябинской области "О статусе и границах Сосновского муниципального округа Челябинской области"
Номер опубликования: 7400202504250001
Дата опубликования: 25.04.2025
Страница №115 из 157:
Увеличить