Официальное опубликование правовых актов
ОФИЦИАЛЬНОЕ ОПУБЛИКОВАНИЕ
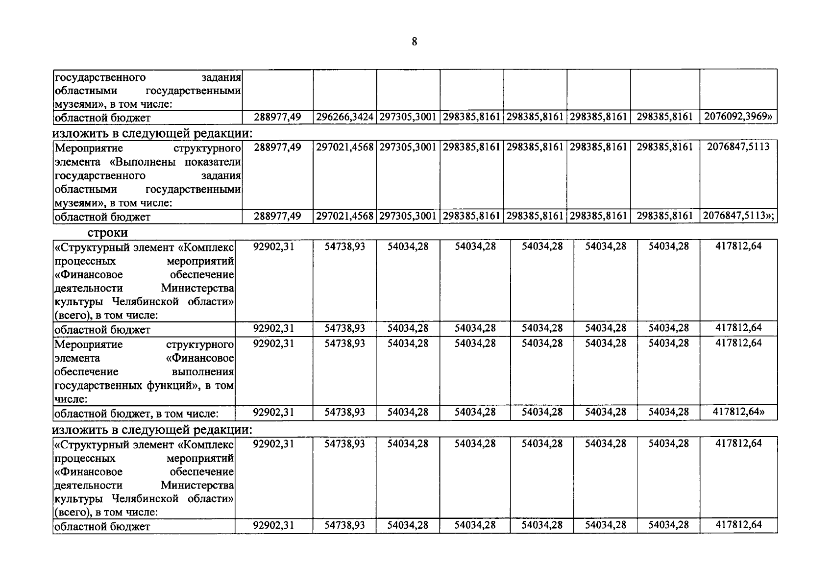
Постановление Правительства Челябинской области от 22.04.2025 № 357-П
"О внесении изменений в постановление Правительства Челябинской области от 16.12.2020 г. № 684-П"
Номер опубликования: 7400202504240005
Дата опубликования: 24.04.2025
Страница №9 из 23:
Увеличить