Официальное опубликование правовых актов
ОФИЦИАЛЬНОЕ ОПУБЛИКОВАНИЕ
Постановление Правительства Челябинской области от 15.04.2025 № 347-П
"О внесении изменений в постановление Правительства Челябинской области от 13.11.2020 г. № 578-П"
Номер опубликования: 7400202504160005
Дата опубликования: 16.04.2025
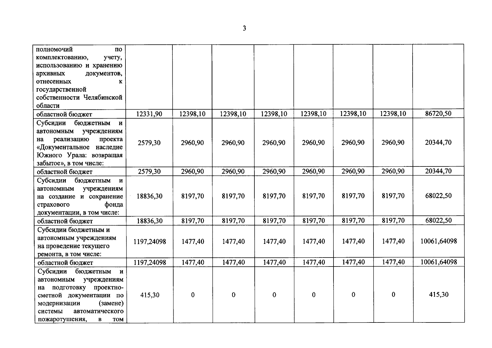
Страница №4 из 12:
Увеличить