Официальное опубликование правовых актов
ОФИЦИАЛЬНОЕ ОПУБЛИКОВАНИЕ
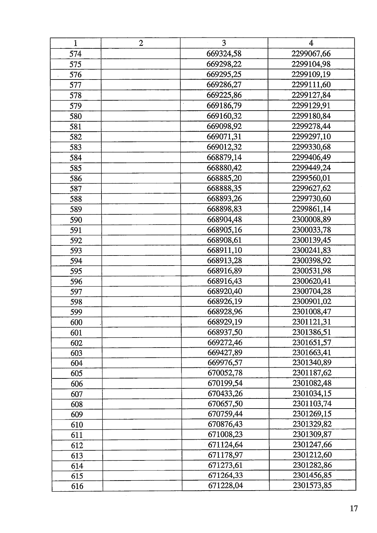
Закон Челябинской области от 28.03.2025 № 45-ЗО
"О внесении изменений в приложения 2 и 2-1 Закона Челябинской области "О статусе и границах Озерского городского округа Челябинской области"
Номер опубликования: 7400202503280032
Дата опубликования: 28.03.2025
Страница №17 из 42:
Увеличить