Официальное опубликование правовых актов
ОФИЦИАЛЬНОЕ ОПУБЛИКОВАНИЕ
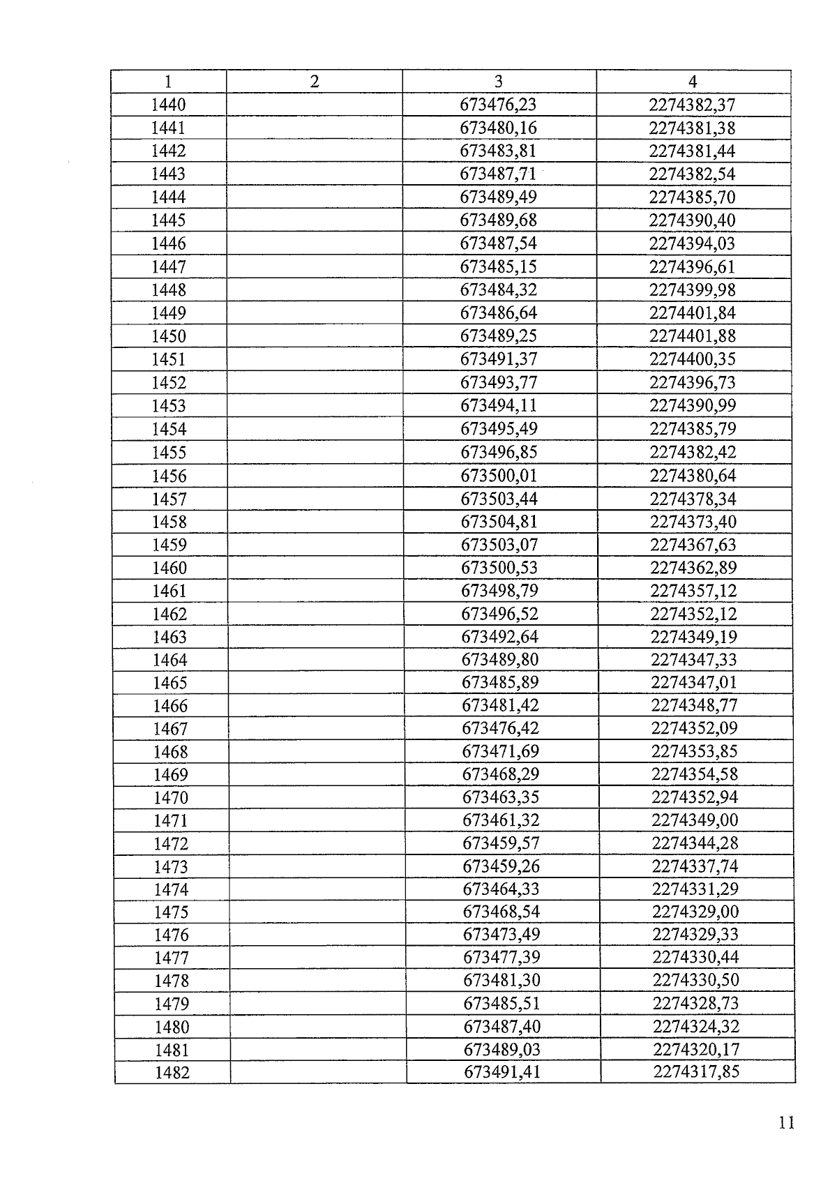
Закон Челябинской области от 28.03.2025 № 43-ЗО
"О внесении изменений в Закон Челябинской области "О статусе и границах Кыштымского городского округа Челябинской области"
Номер опубликования: 7400202503280031
Дата опубликования: 28.03.2025
Страница №11 из 20:
Увеличить