Официальное опубликование правовых актов
ОФИЦИАЛЬНОЕ ОПУБЛИКОВАНИЕ
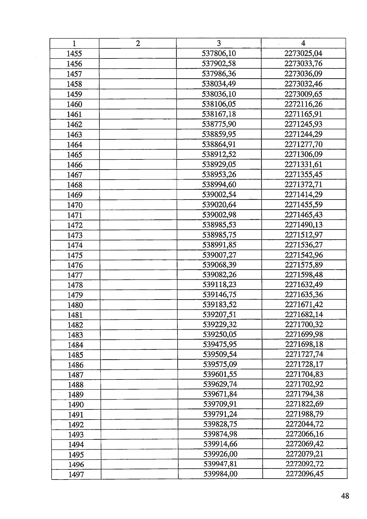
Закон Челябинской области от 28.03.2025 № 57-ЗО
"О статусе и границах Чебаркульского муниципального округа Челябинской области"
Номер опубликования: 7400202503280030
Дата опубликования: 28.03.2025
Страница №48 из 107:
Увеличить