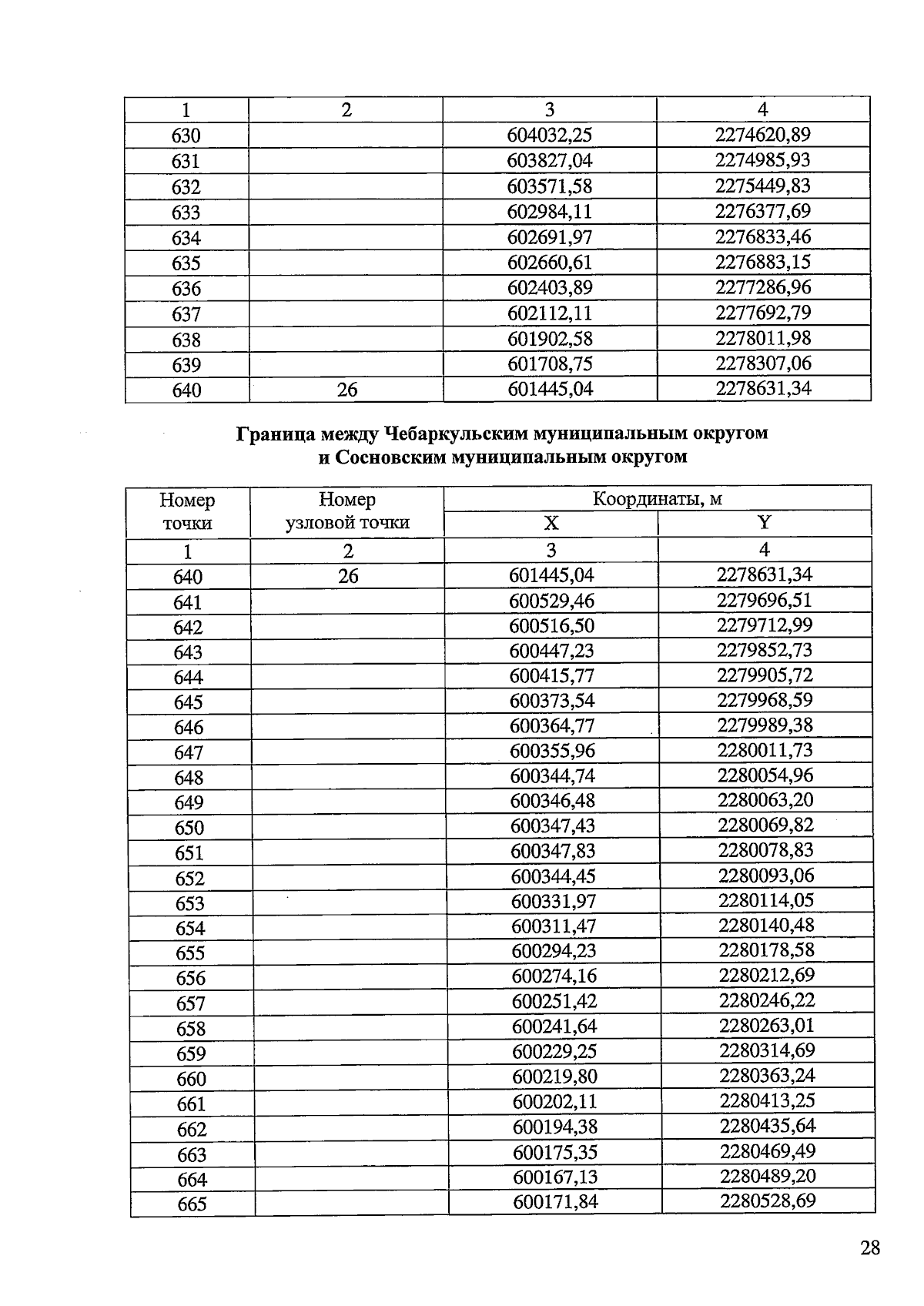
Закон Челябинской области от 28.03.2025 № 57-ЗО
"О статусе и границах Чебаркульского муниципального округа Челябинской области"
"О статусе и границах Чебаркульского муниципального округа Челябинской области"
Номер опубликования: 7400202503280030
Дата опубликования:
28.03.2025
