Официальное опубликование правовых актов
ОФИЦИАЛЬНОЕ ОПУБЛИКОВАНИЕ
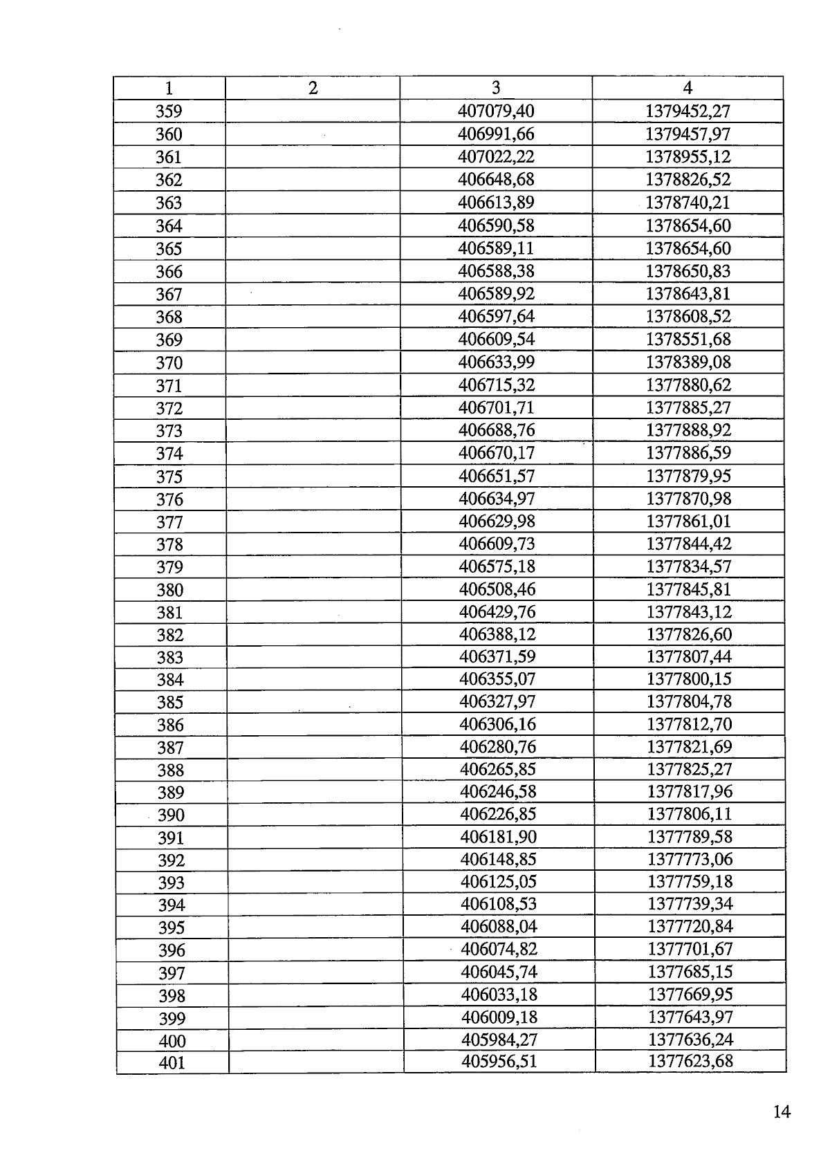
Закон Челябинской области от 28.03.2025 № 44-ЗО
"О внесении изменений в Закон Челябинской области "О статусе и границах Магнитогорского городского округа Челябинской области"
Номер опубликования: 7400202503280029
Дата опубликования: 28.03.2025
Страница №14 из 21:
Увеличить