Официальное опубликование правовых актов
ОФИЦИАЛЬНОЕ ОПУБЛИКОВАНИЕ
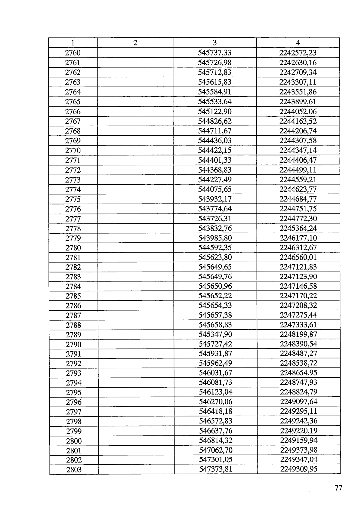
Закон Челябинской области от 28.03.2025 № 56-ЗО
"О статусе и границах Уйского муниципального округа Челябинской области"
Номер опубликования: 7400202503280028
Дата опубликования: 28.03.2025
Страница №77 из 89:
Увеличить