Официальное опубликование правовых актов
ОФИЦИАЛЬНОЕ ОПУБЛИКОВАНИЕ
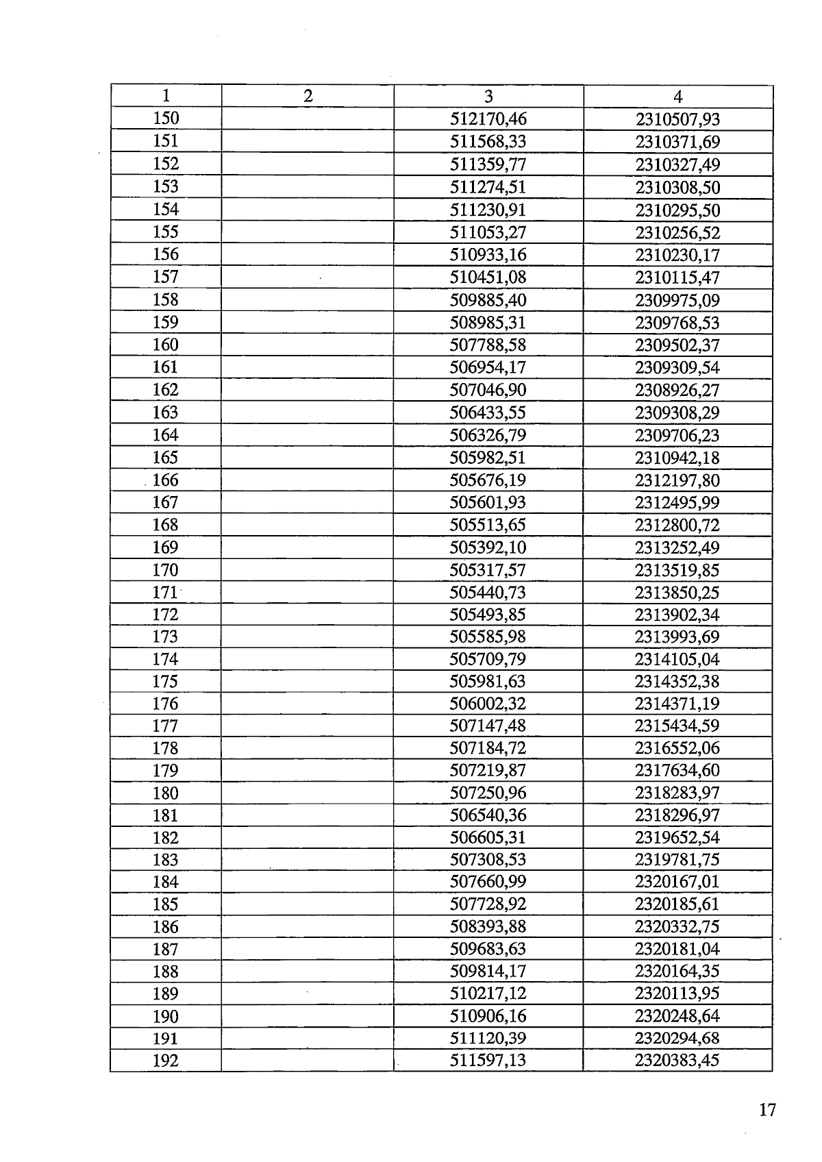
Закон Челябинской области от 28.03.2025 № 55-ЗО
"О статусе и границах Троицкого муниципального округа Челябинской области"
Номер опубликования: 7400202503280027
Дата опубликования: 28.03.2025
Страница №17 из 67:
Увеличить