Официальное опубликование правовых актов
ОФИЦИАЛЬНОЕ ОПУБЛИКОВАНИЕ
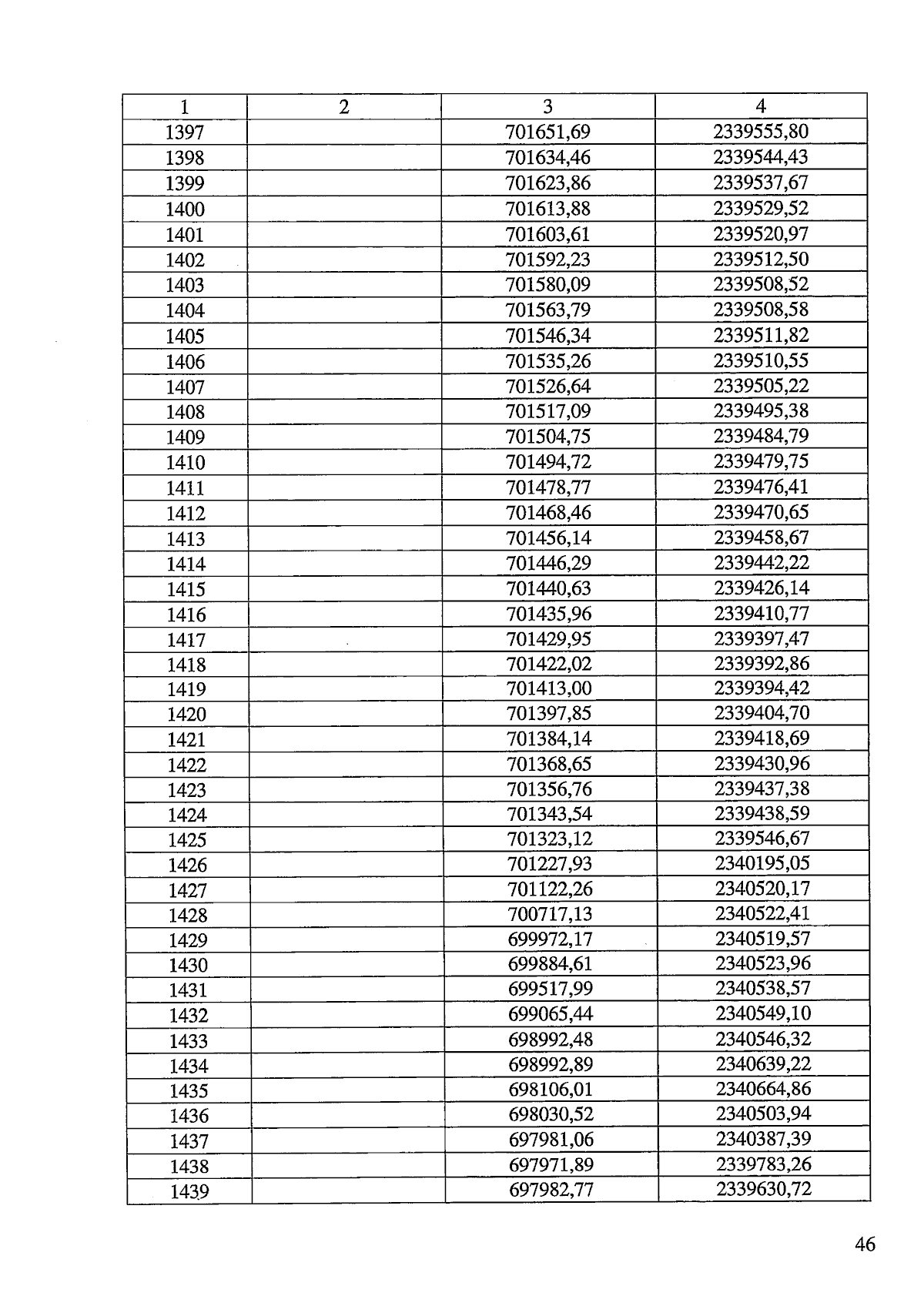
Закон Челябинской области от 28.03.2025 № 52-ЗО
"О статусе и границах Каслинского муниципального округа Челябинской области"
Номер опубликования: 7400202503280024
Дата опубликования: 28.03.2025
Страница №46 из 108:
Увеличить