Официальное опубликование правовых актов
ОФИЦИАЛЬНОЕ ОПУБЛИКОВАНИЕ
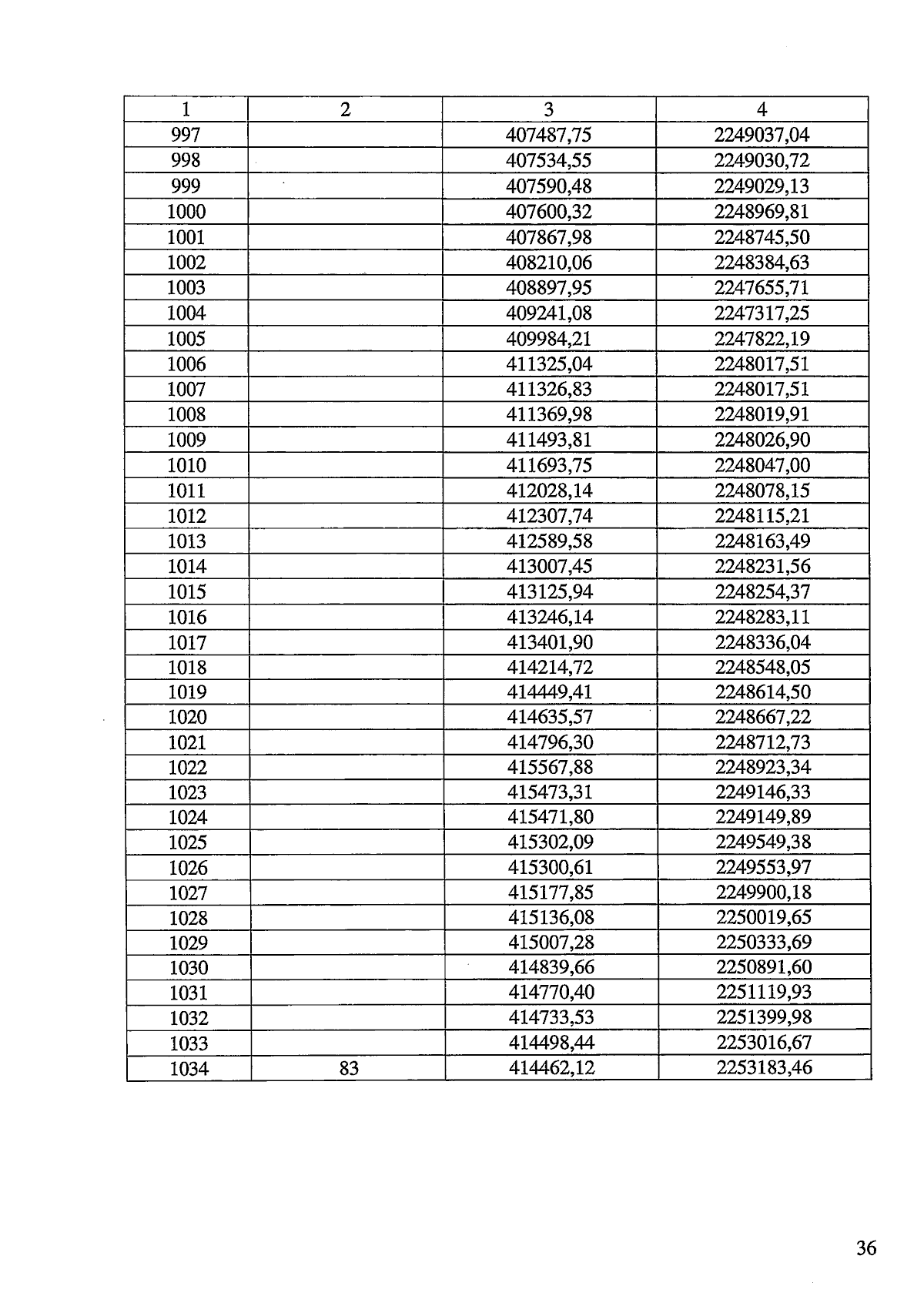
Закон Челябинской области от 28.03.2025 № 51-ЗО
"О статусе и границах Карталинского муниципального округа Челябинской области"
Номер опубликования: 7400202503280023
Дата опубликования: 28.03.2025
Страница №36 из 52:
Увеличить