Официальное опубликование правовых актов
ОФИЦИАЛЬНОЕ ОПУБЛИКОВАНИЕ
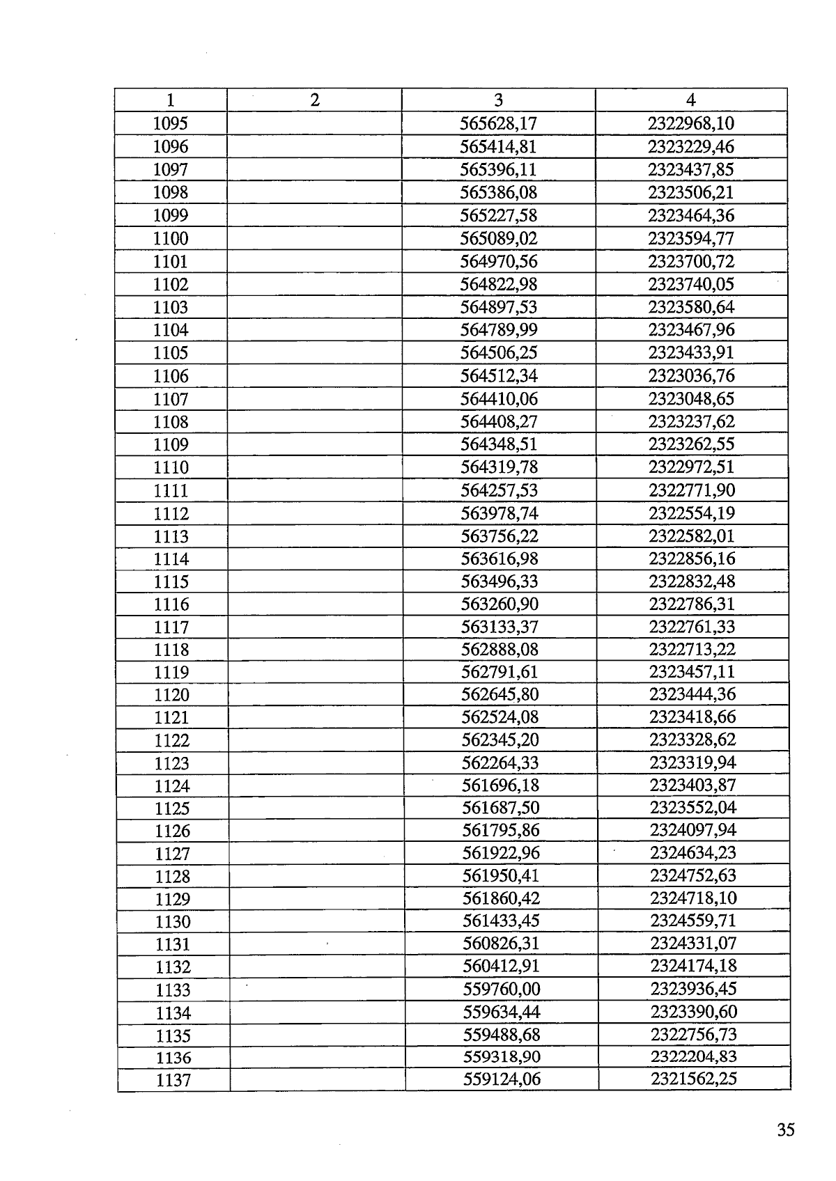
Закон Челябинской области от 28.03.2025 № 49-ЗО
"О статусе и границах Еманжелинского муниципального округа Челябинской области"
Номер опубликования: 7400202503280021
Дата опубликования: 28.03.2025
Страница №35 из 39:
Увеличить