Официальное опубликование правовых актов
ОФИЦИАЛЬНОЕ ОПУБЛИКОВАНИЕ
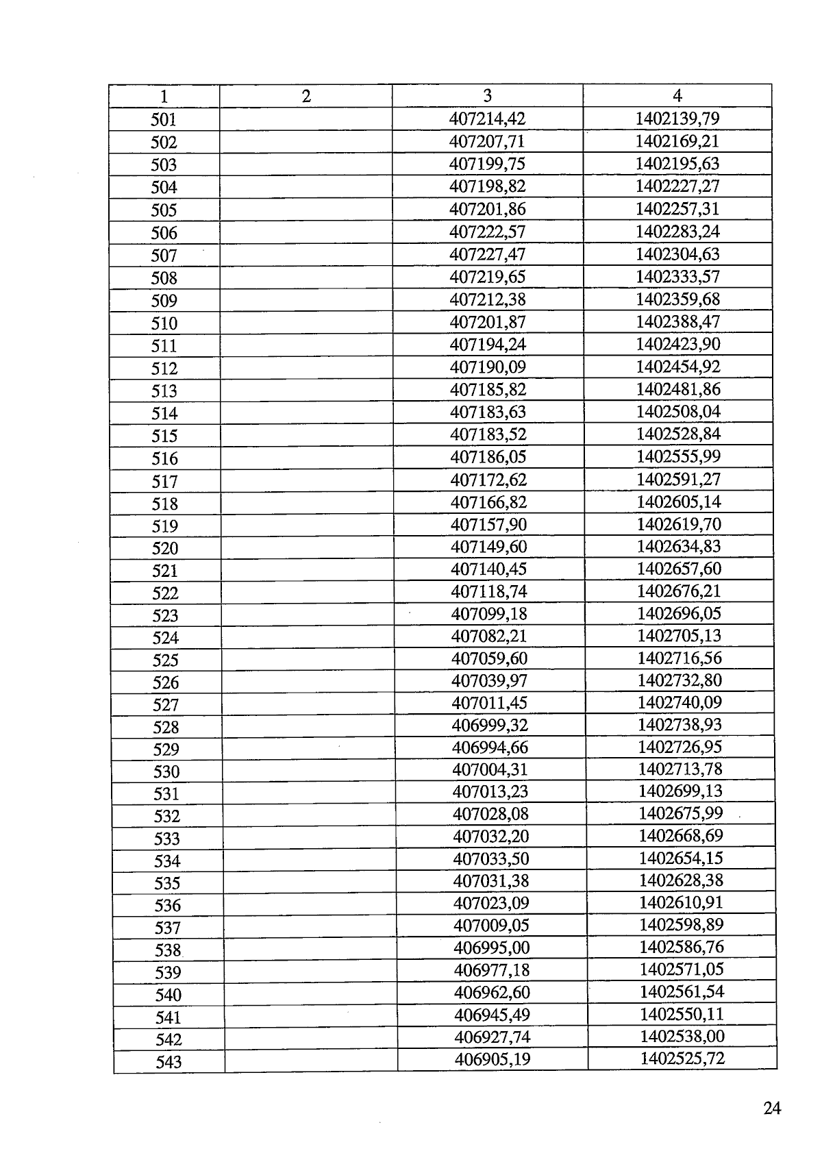
Закон Челябинской области от 28.03.2025 № 48-ЗО
"О статусе и границах Агаповского муниципального округа Челябинской области"
Номер опубликования: 7400202503280017
Дата опубликования: 28.03.2025
Страница №24 из 119:
Увеличить