Официальное опубликование правовых актов
ОФИЦИАЛЬНОЕ ОПУБЛИКОВАНИЕ
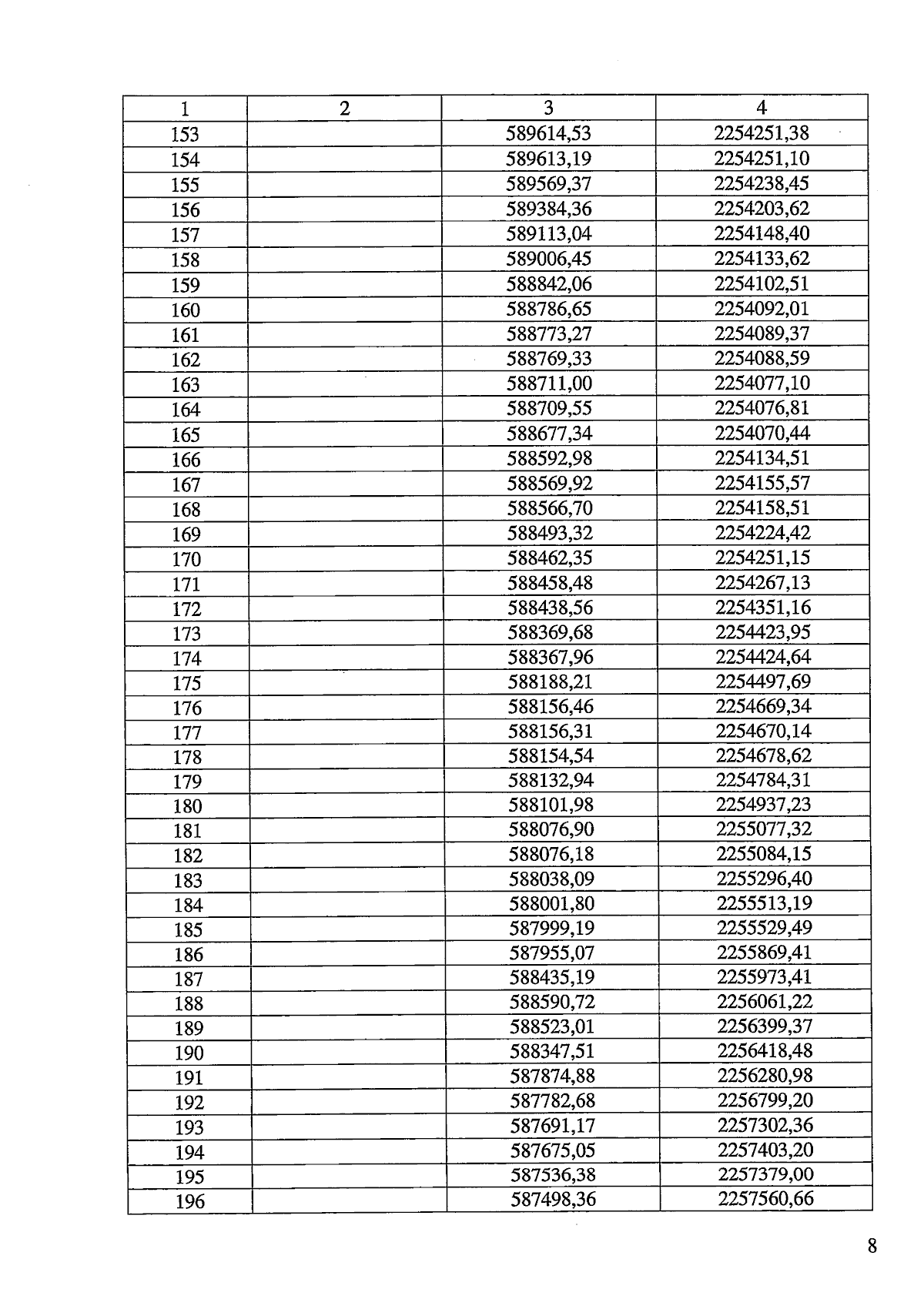
Закон Челябинской области от 28.03.2025 № 47-ЗО
"О внесении изменений в Закон Челябинской области "О статусе и границах Чебаркульского городского округа Челябинской области"
Номер опубликования: 7400202503280015
Дата опубликования: 28.03.2025
Страница №8 из 19:
Увеличить