Официальное опубликование правовых актов
ОФИЦИАЛЬНОЕ ОПУБЛИКОВАНИЕ
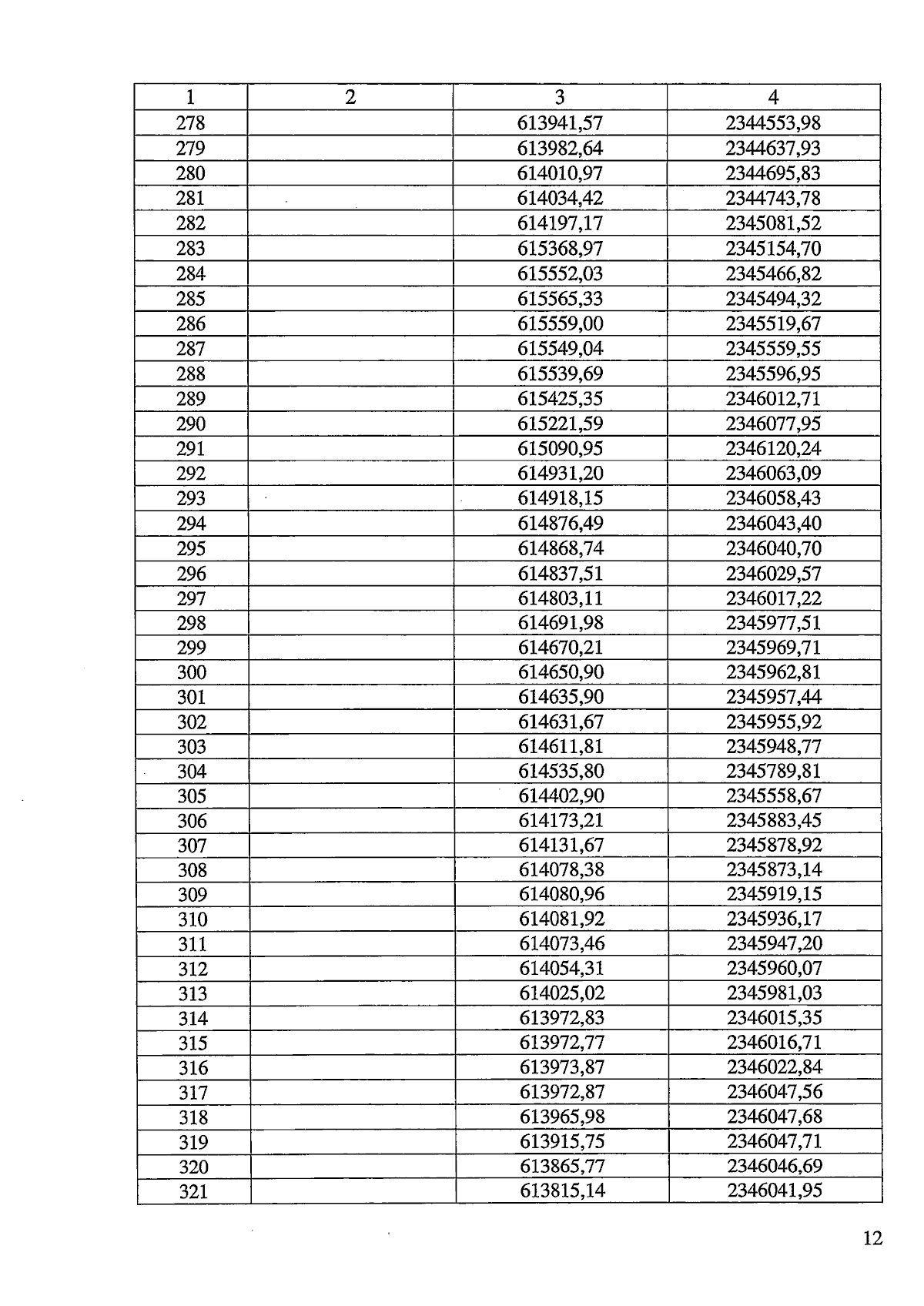
Закон Челябинской области от 28.03.2025 № 42-ЗО
"О внесении изменений в Закон Челябинской области "О статусе и границах Копейского городского округа Челябинской области"
Номер опубликования: 7400202503280005
Дата опубликования: 28.03.2025
Страница №12 из 36:
Увеличить