Официальное опубликование правовых актов
ОФИЦИАЛЬНОЕ ОПУБЛИКОВАНИЕ
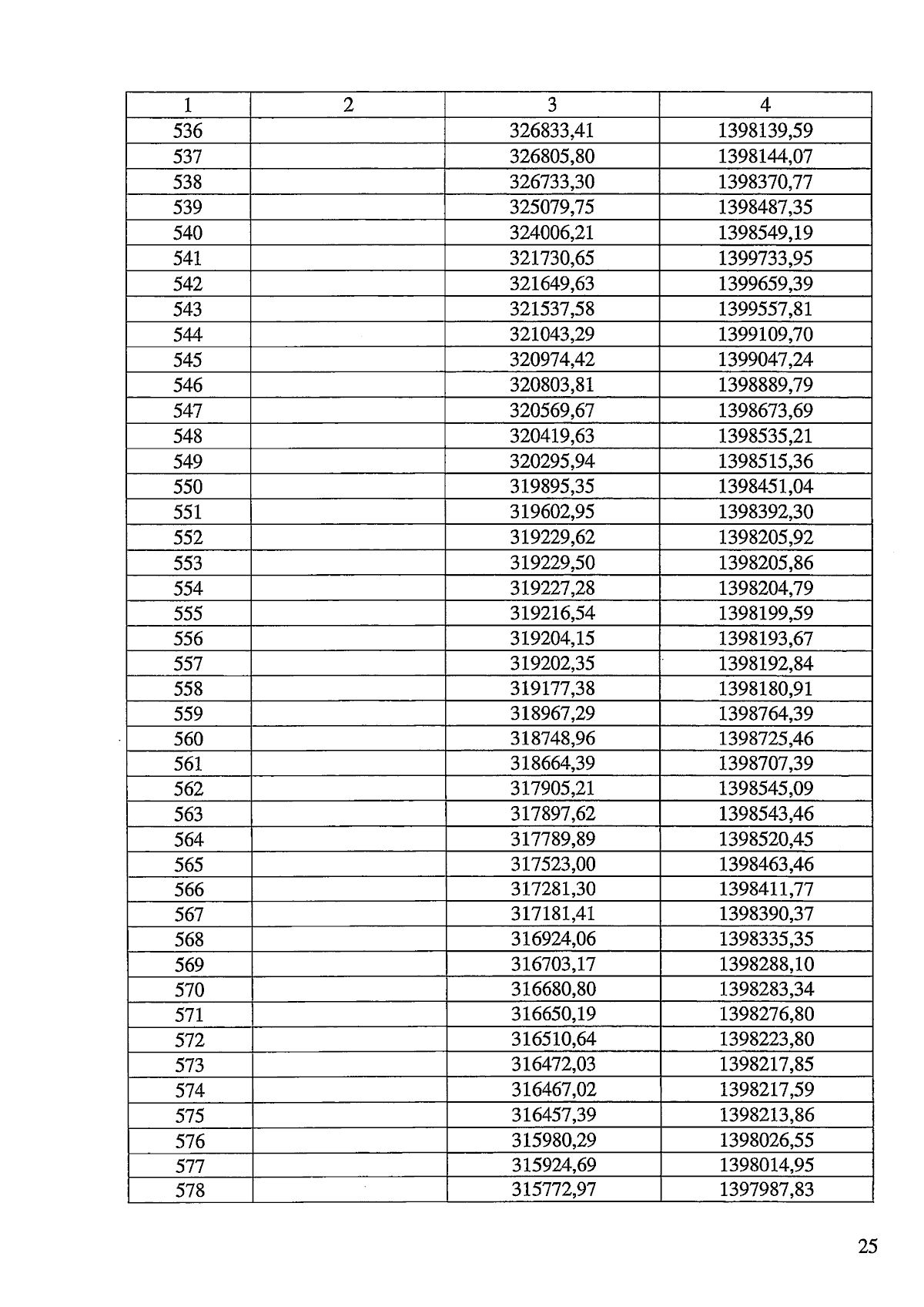
Закон Челябинской области от 19.03.2025 № 35-ЗО
"О статусе и границах Кизильского муниципального округа Челябинской области"
Номер опубликования: 7400202503190015
Дата опубликования: 19.03.2025
Страница №25 из 102:
Увеличить