Официальное опубликование правовых актов
ОФИЦИАЛЬНОЕ ОПУБЛИКОВАНИЕ
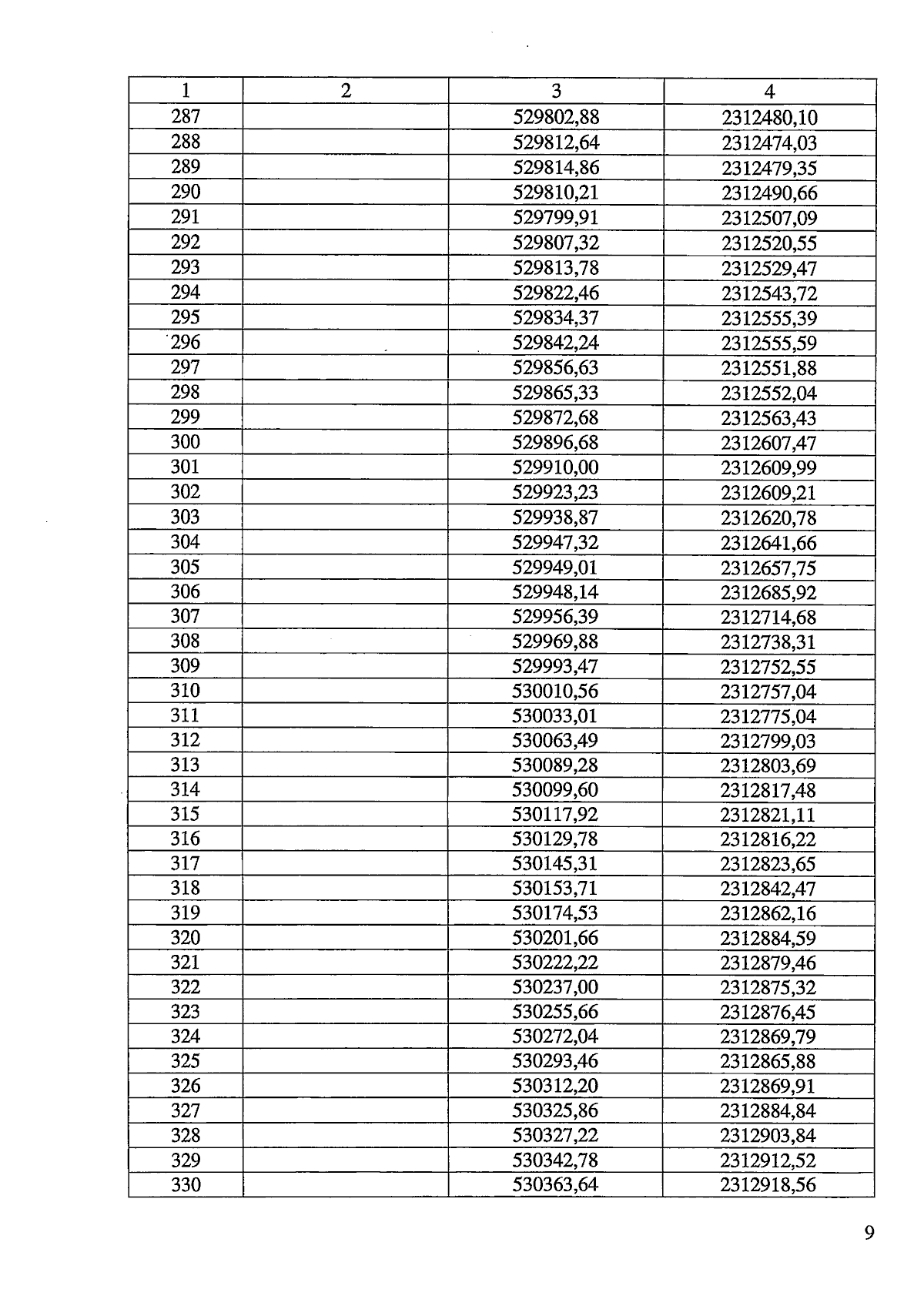
Закон Челябинской области от 19.03.2025 № 30-ЗО
"О внесении изменения в приложение 2-1 к Закону Челябинской области "О статусе и границах Южноуральского городского округа Челябинской области"
Номер опубликования: 7400202503190014
Дата опубликования: 19.03.2025
Страница №9 из 39:
Увеличить