Официальное опубликование правовых актов
ОФИЦИАЛЬНОЕ ОПУБЛИКОВАНИЕ
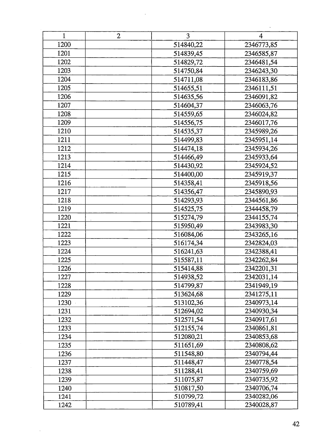
Закон Челябинской области от 19.03.2025 № 38-ЗО
"О статусе и границах Увельского муниципального округа Челябинской области"
Номер опубликования: 7400202503190013
Дата опубликования: 19.03.2025
Страница №42 из 90:
Увеличить