Официальное опубликование правовых актов
ОФИЦИАЛЬНОЕ ОПУБЛИКОВАНИЕ
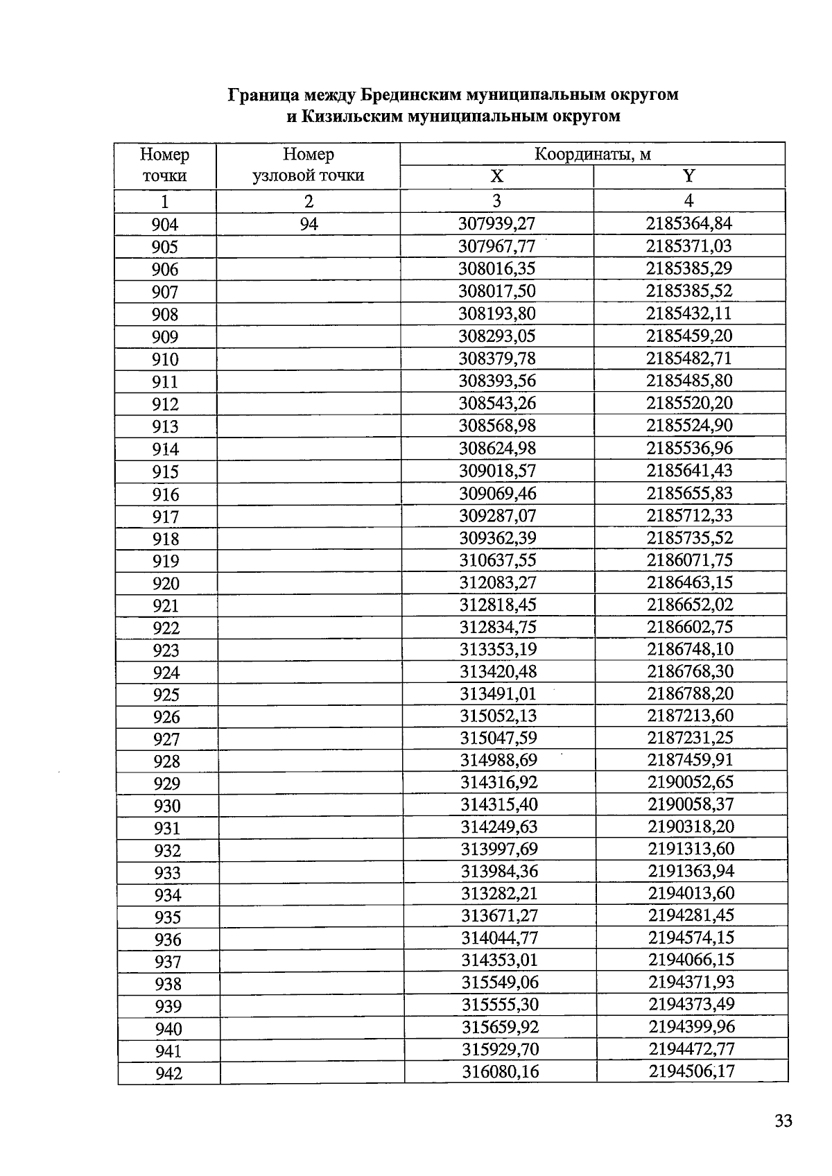
Закон Челябинской области от 19.03.2025 № 32-ЗО
"О статусе и границах Брединского муниципального округа Челябинской области"
Номер опубликования: 7400202503190012
Дата опубликования: 19.03.2025
Страница №33 из 49:
Увеличить