Официальное опубликование правовых актов
ОФИЦИАЛЬНОЕ ОПУБЛИКОВАНИЕ
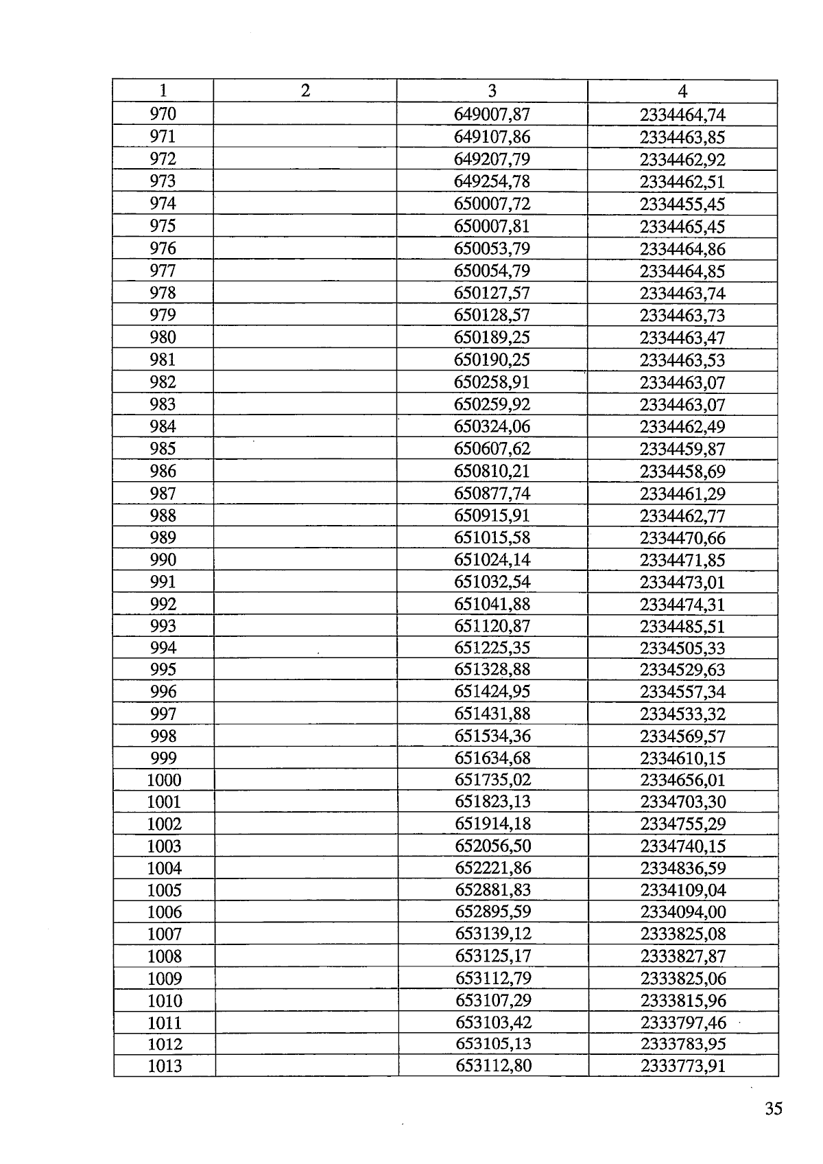
Закон Челябинской области от 19.03.2025 № 36-ЗО
"О статусе и границах Кунашакского муниципального округа Челябинской области"
Номер опубликования: 7400202503190011
Дата опубликования: 19.03.2025
Страница №35 из 130:
Увеличить