Официальное опубликование правовых актов
ОФИЦИАЛЬНОЕ ОПУБЛИКОВАНИЕ
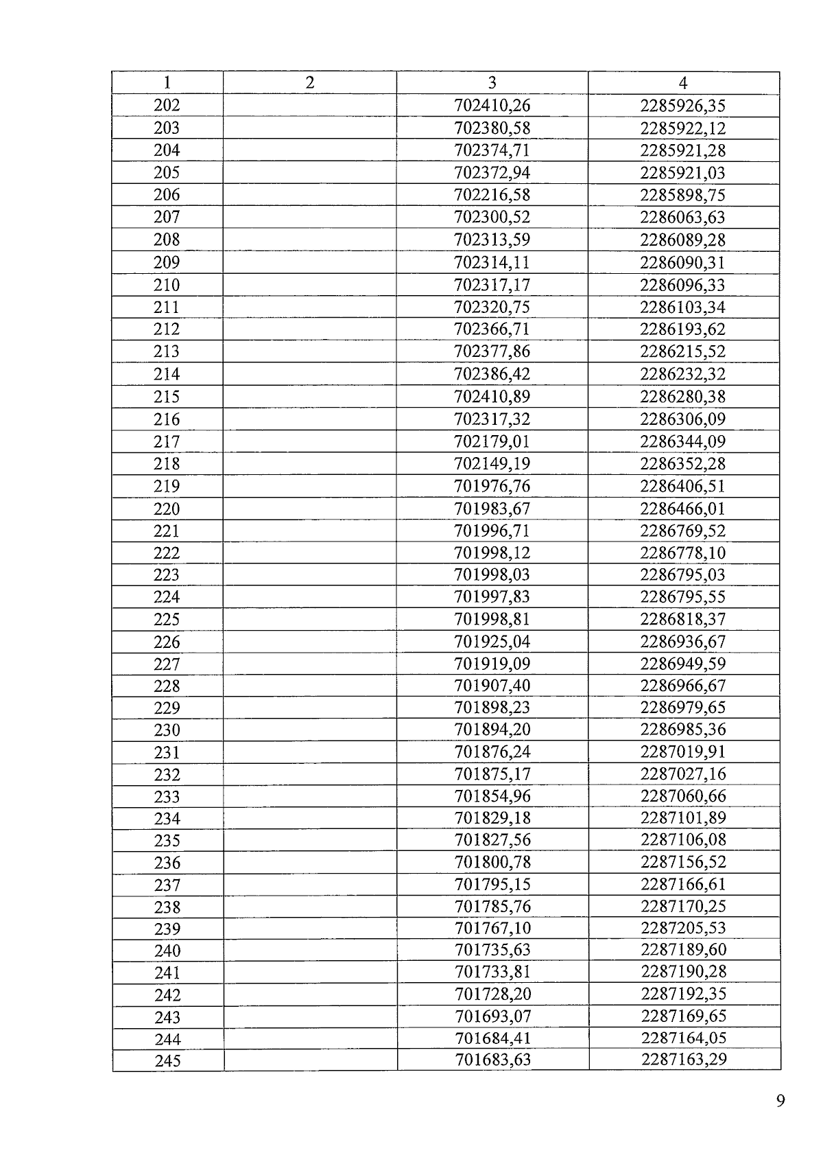
Закон Челябинской области от 19.03.2025 № 29-ЗО
"О внесении изменений в Закон Челябинской области "О статусе и границах Снежинского городского округа Челябинской области"
Номер опубликования: 7400202503190008
Дата опубликования: 19.03.2025
Страница №9 из 15:
Увеличить