Официальное опубликование правовых актов
ОФИЦИАЛЬНОЕ ОПУБЛИКОВАНИЕ
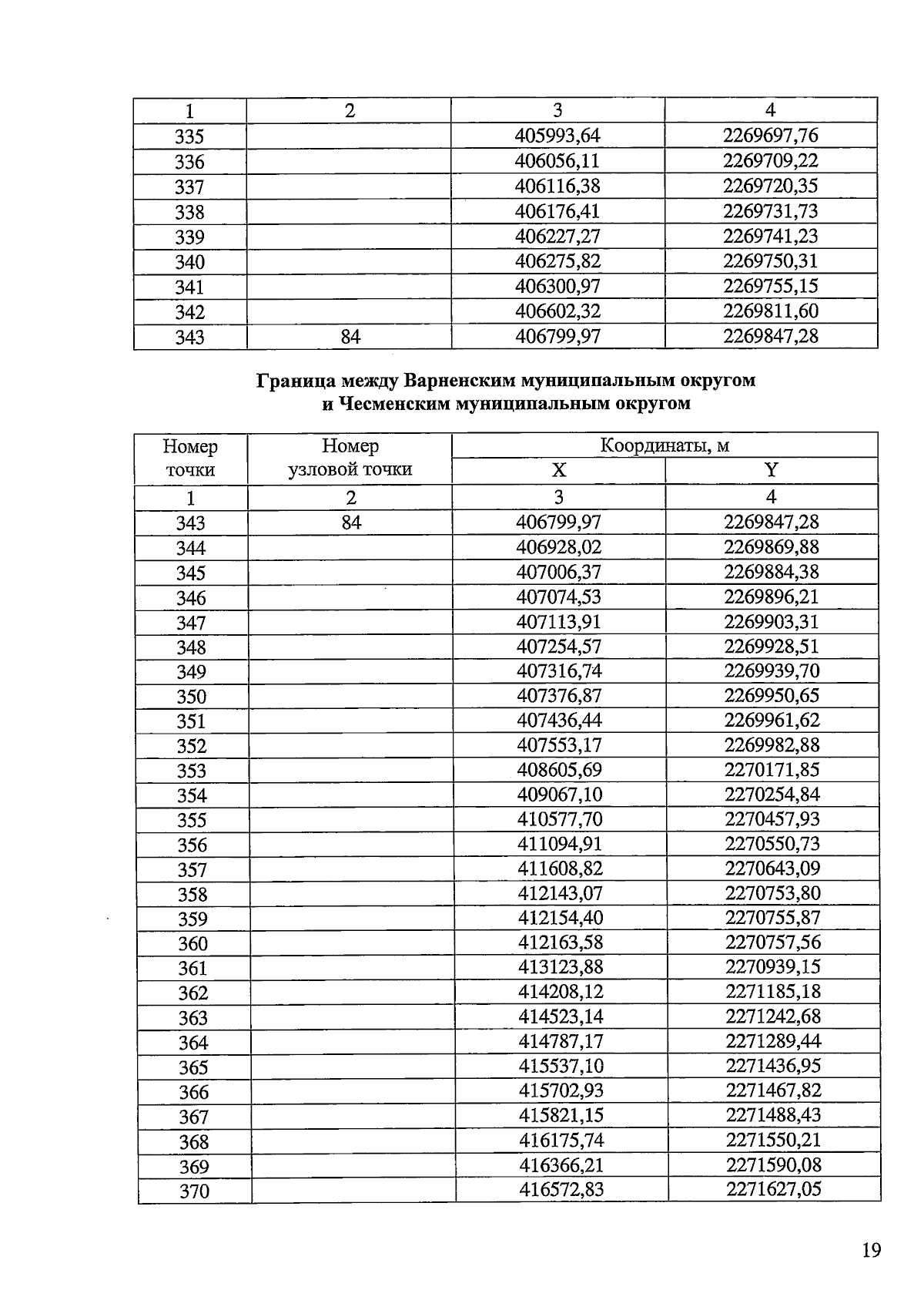
Закон Челябинской области от 19.03.2025 № 33-ЗО
"О статусе и границах Варненского муниципального округа Челябинской области"
Номер опубликования: 7400202503190007
Дата опубликования: 19.03.2025
Страница №19 из 37:
Увеличить