Официальное опубликование правовых актов
ОФИЦИАЛЬНОЕ ОПУБЛИКОВАНИЕ
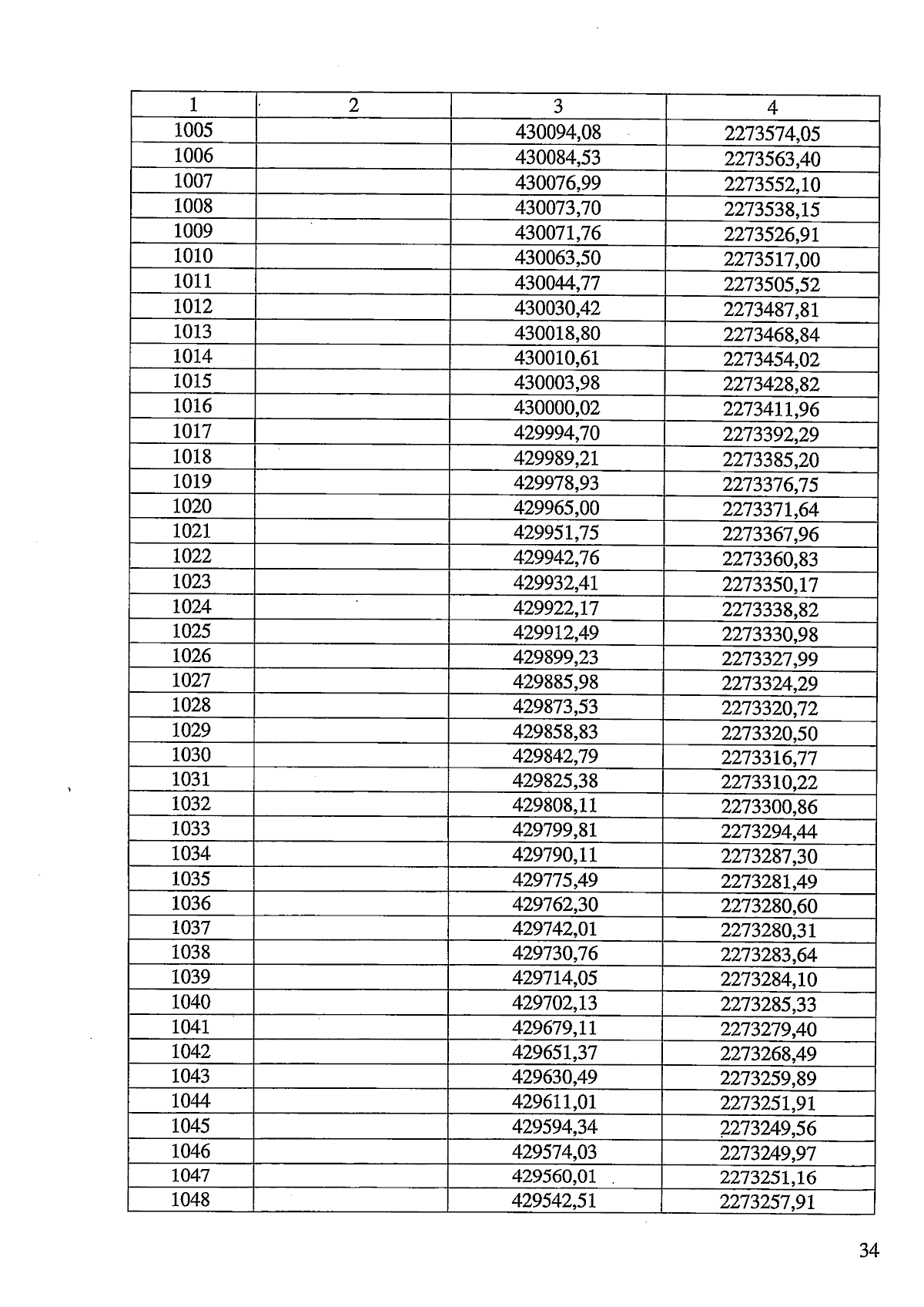
Закон Челябинской области от 19.03.2025 № 39-ЗО
"О статусе и границах Чесменского муниципального округа Челябинской области"
Номер опубликования: 7400202503190006
Дата опубликования: 19.03.2025
Страница №34 из 48:
Увеличить