Официальное опубликование правовых актов
ОФИЦИАЛЬНОЕ ОПУБЛИКОВАНИЕ
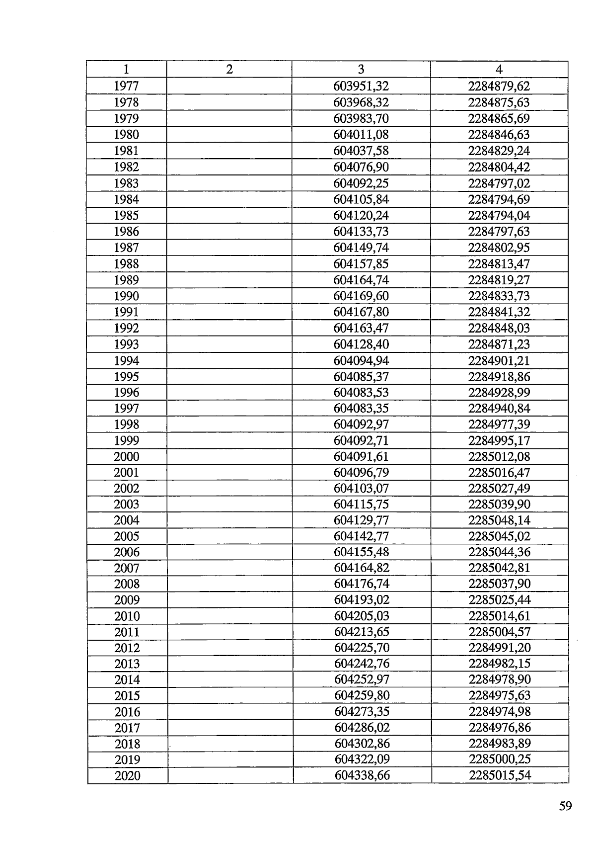
Закон Челябинской области от 19.03.2025 № 31-ЗО
"О статусе и границах Аргаяшского муниципального округа Челябинской области"
Номер опубликования: 7400202503190005
Дата опубликования: 19.03.2025
Страница №59 из 91:
Увеличить