Официальное опубликование правовых актов
ОФИЦИАЛЬНОЕ ОПУБЛИКОВАНИЕ
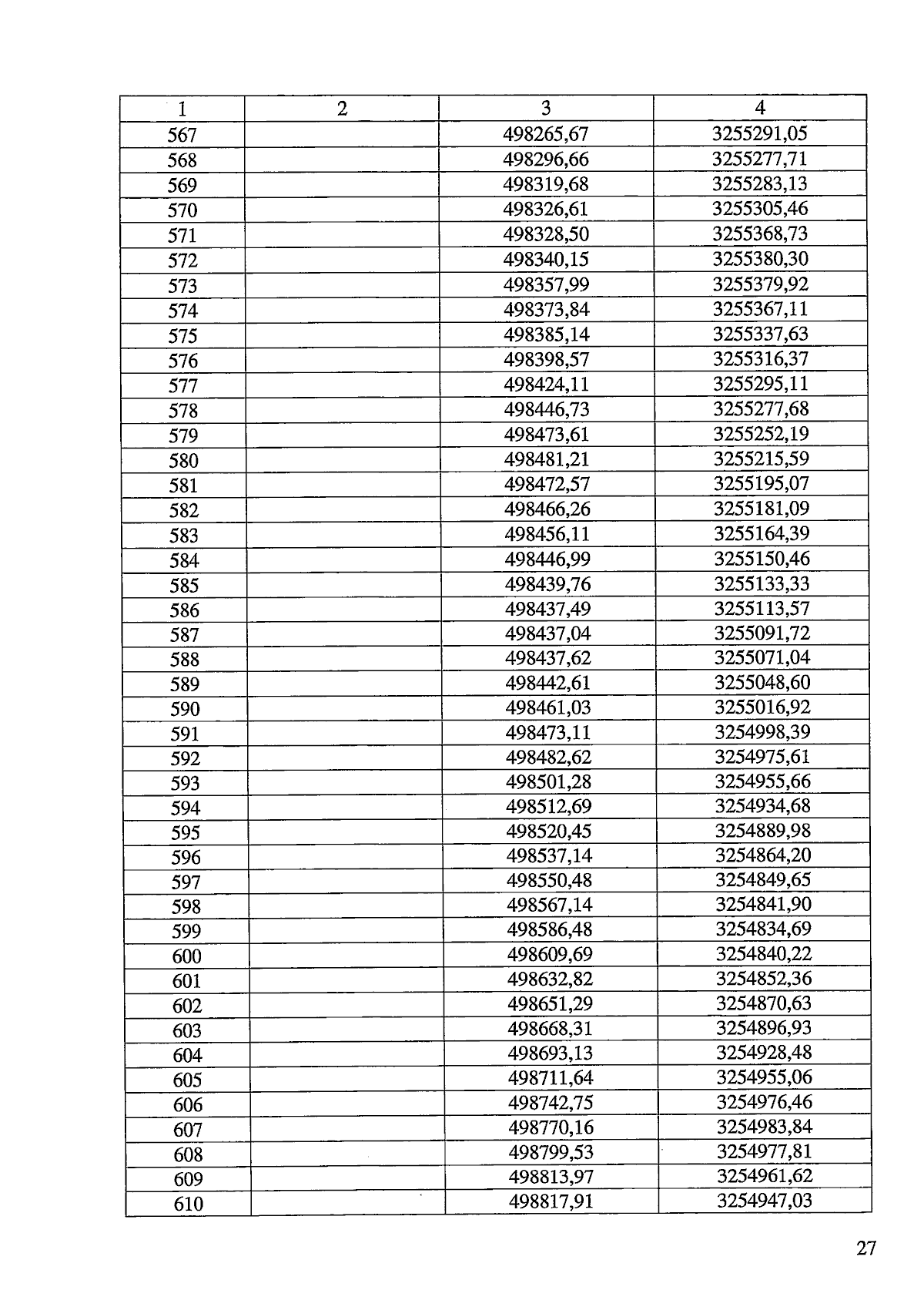
Закон Челябинской области от 17.03.2025 № 27-ЗО
"О статусе и границах Октябрьского муниципального округа Челябинской области"
Номер опубликования: 7400202503170006
Дата опубликования: 17.03.2025
Страница №27 из 123:
Увеличить