Официальное опубликование правовых актов
ОФИЦИАЛЬНОЕ ОПУБЛИКОВАНИЕ
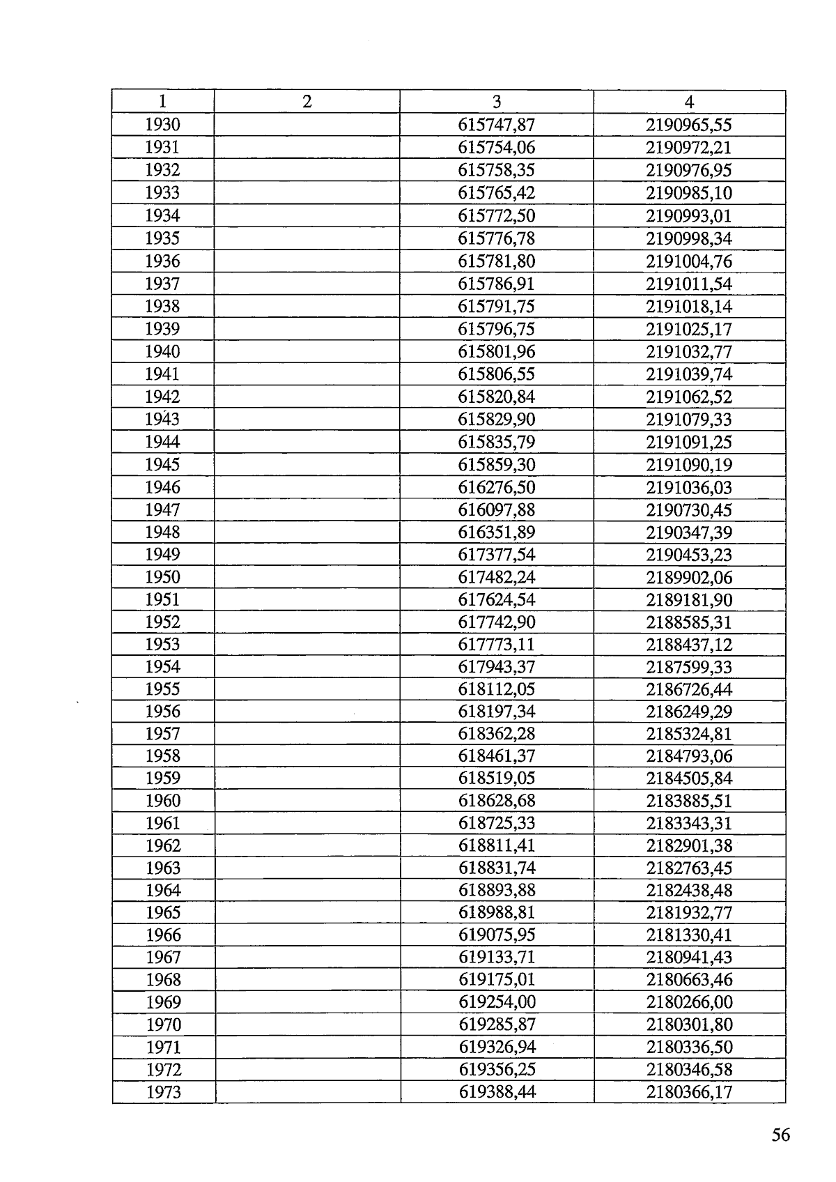
Закон Челябинской области от 05.03.2025 № 14-ЗО
"О статусе и границах Кусинского муниципального округа Челябинской области"
Номер опубликования: 7400202503050005
Дата опубликования: 05.03.2025
Страница №56 из 63:
Увеличить