Официальное опубликование правовых актов
ОФИЦИАЛЬНОЕ ОПУБЛИКОВАНИЕ
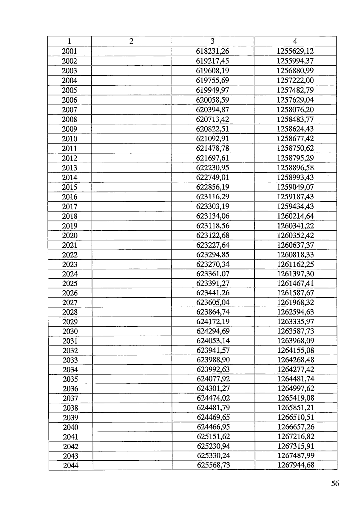
Закон Челябинской области от 05.03.2025 № 13-ЗО
"О статусе и границах Ашинского муниципального округа Челябинской области"
Номер опубликования: 7400202503050004
Дата опубликования: 05.03.2025
Страница №56 из 89:
Увеличить