Официальное опубликование правовых актов
ОФИЦИАЛЬНОЕ ОПУБЛИКОВАНИЕ
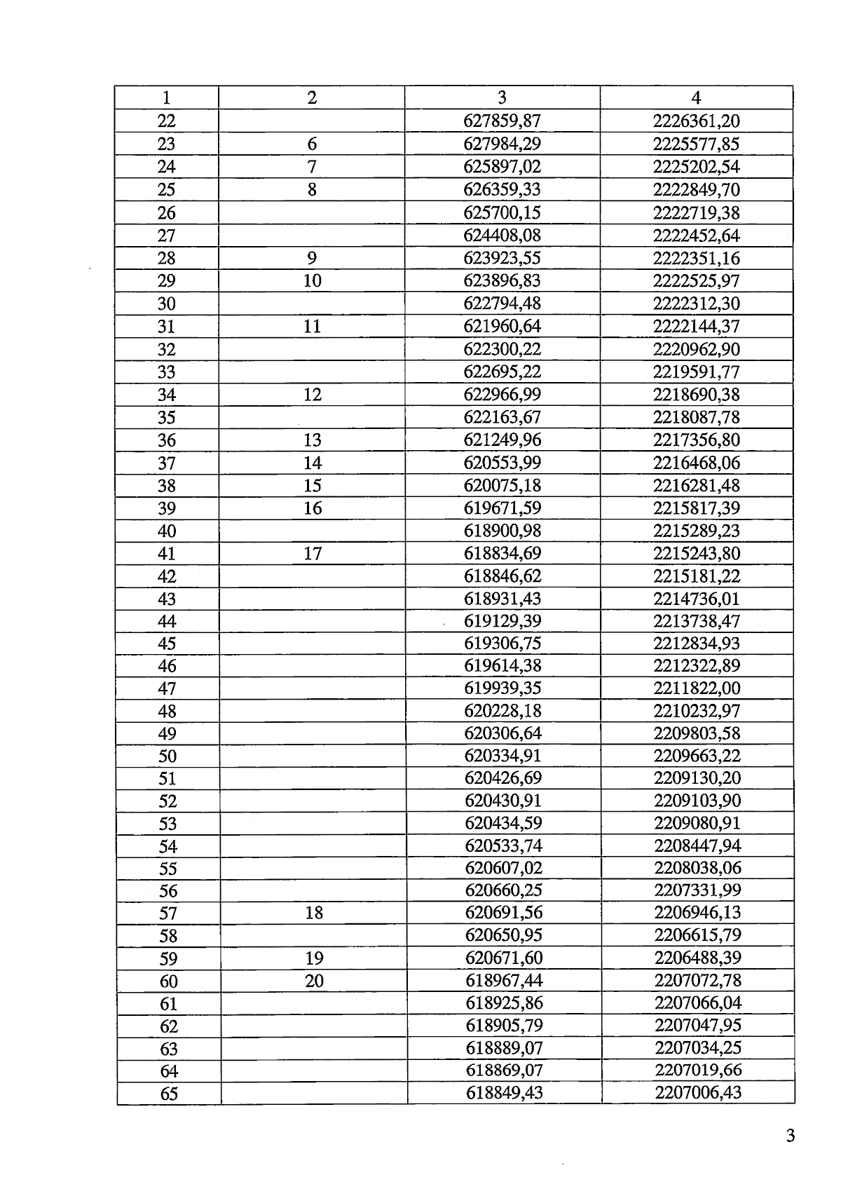
Закон Челябинской области от 05.03.2025 № 15-ЗО
"О внесении изменения в приложение 2-1 к Закону Челябинской области "О статусе и границах Златоустовского городского округа Челябинской области"
Номер опубликования: 7400202503050002
Дата опубликования: 05.03.2025
Страница №3 из 26:
Увеличить