Официальное опубликование правовых актов
ОФИЦИАЛЬНОЕ ОПУБЛИКОВАНИЕ
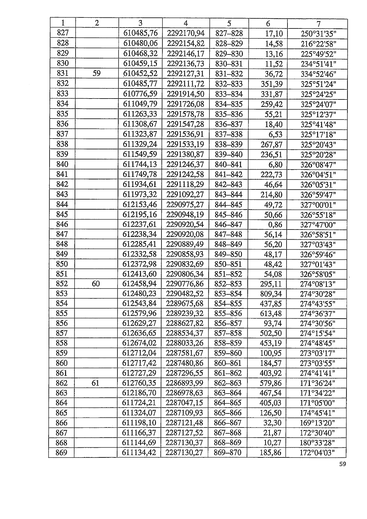
Закон Челябинской области от 25.12.2024 № 202-ЗО
"О внесении изменений в приложения 1 и 2-1 к Закону Челябинской области "О статусе и границах Сосновского муниципального района Челябинской области и сельских поселений в его составе" и приложения 1 и 2-1 к Закону Челябинской области "О статусе и границах Аргаяшского муниципального района Челябинской области и сельских поселений в его составе"
Номер опубликования: 7400202412250001
Дата опубликования: 25.12.2024
Страница №59 из 76:
Увеличить