Официальное опубликование правовых актов
ОФИЦИАЛЬНОЕ ОПУБЛИКОВАНИЕ
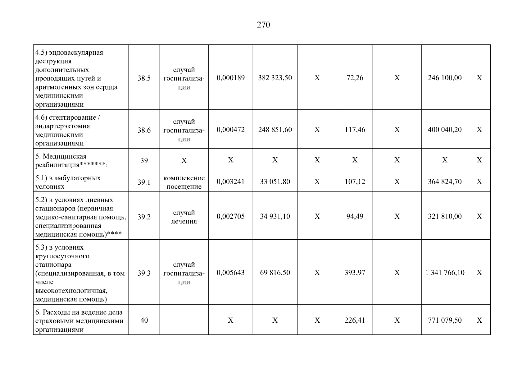
Постановление Правительства Челябинской области от 19.12.2024 № 719-П
"О Территориальной программе государственных гарантий бесплатного оказания гражданам медицинской помощи в Челябинской области на 2025 год и на плановый период 2026 и 2027 годов"
Номер опубликования: 7400202412200005
Дата опубликования: 20.12.2024
Страница №271 из 380:
Увеличить