Официальное опубликование правовых актов
ОФИЦИАЛЬНОЕ ОПУБЛИКОВАНИЕ
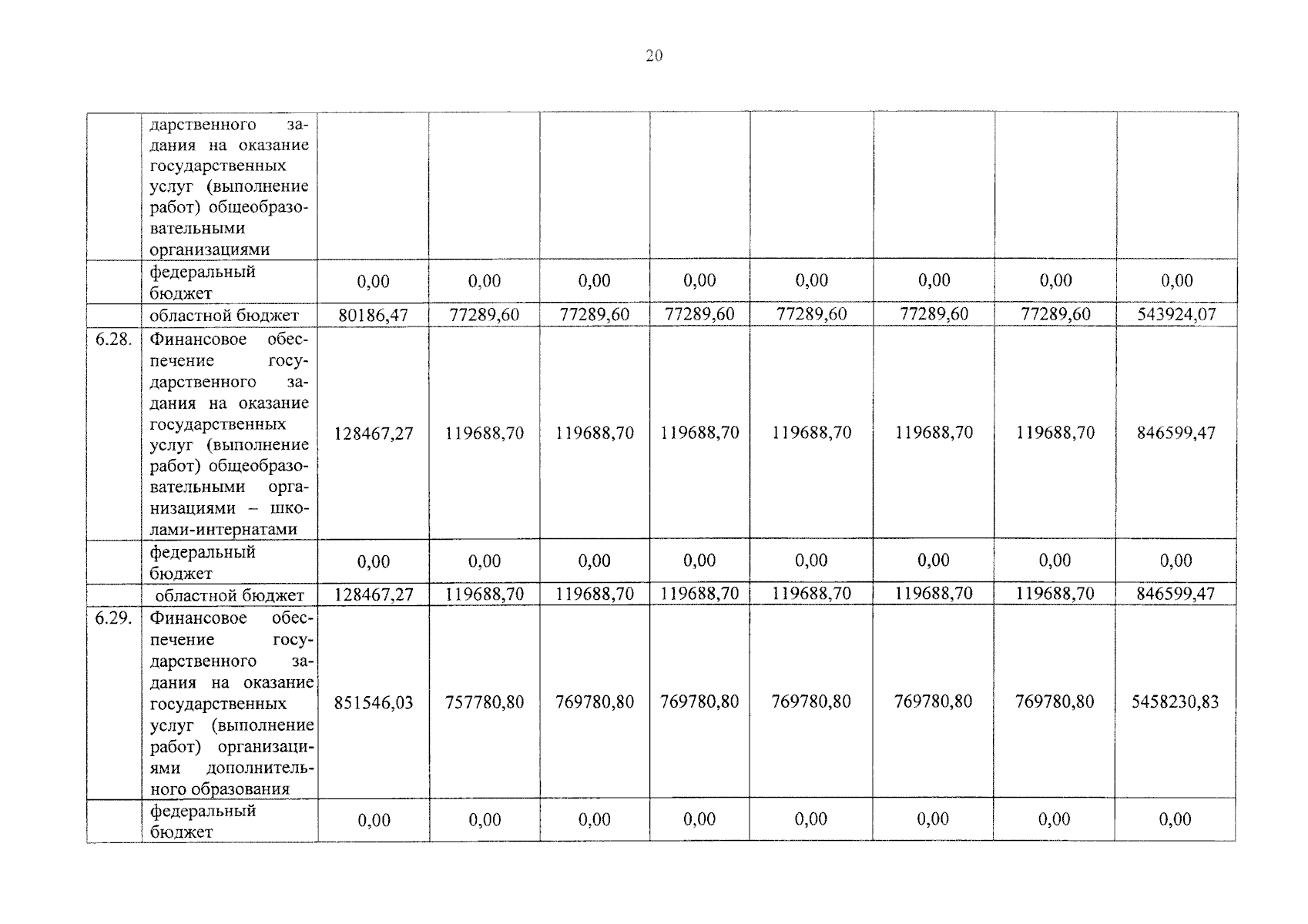
Постановление Правительства Челябинской области от 19.12.2024 № 722-П
"О внесении изменений в постановление Правительства Челябинской области от 28.12.2017 г. № 732-П"
Номер опубликования: 7400202412190007
Дата опубликования: 19.12.2024
Страница №22 из 26:
Увеличить