Официальное опубликование правовых актов
ОФИЦИАЛЬНОЕ ОПУБЛИКОВАНИЕ
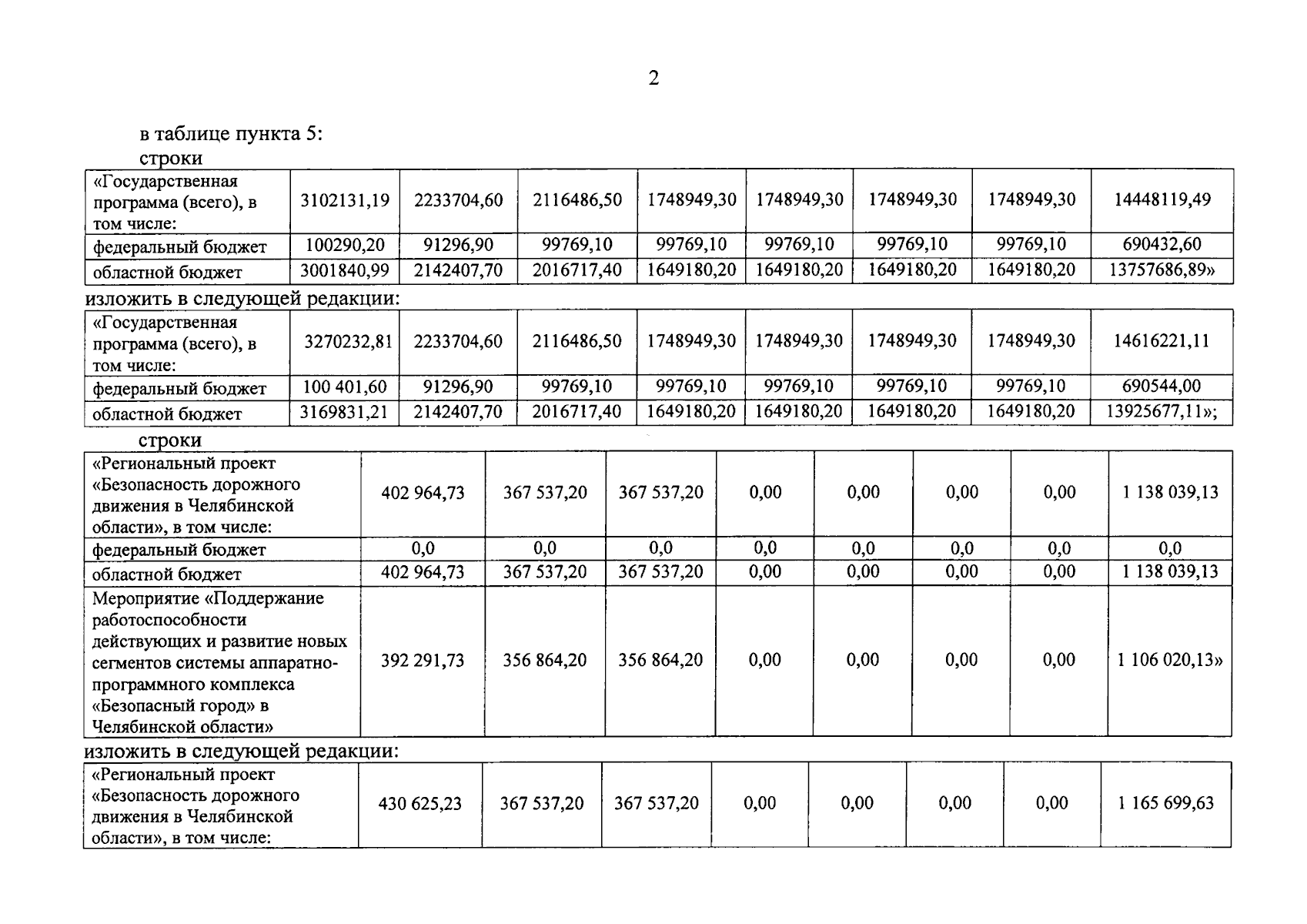
Постановление Правительства Челябинской области от 13.12.2024 № 709-П
"О внесении изменений в постановление Правительства Челябинской области от 30.12.2019 г. № 628-П"
Номер опубликования: 7400202412170005
Дата опубликования: 17.12.2024
Страница №3 из 13:
Увеличить