Официальное опубликование правовых актов
ОФИЦИАЛЬНОЕ ОПУБЛИКОВАНИЕ
Постановление Правительства Челябинской области от 29.10.2024 № 607-П
"О прогнозе социально-экономического развития Челябинской области на 2025 год и на плановый период 2026 и 2027 годов"
Номер опубликования: 7400202410300003
Дата опубликования: 30.10.2024
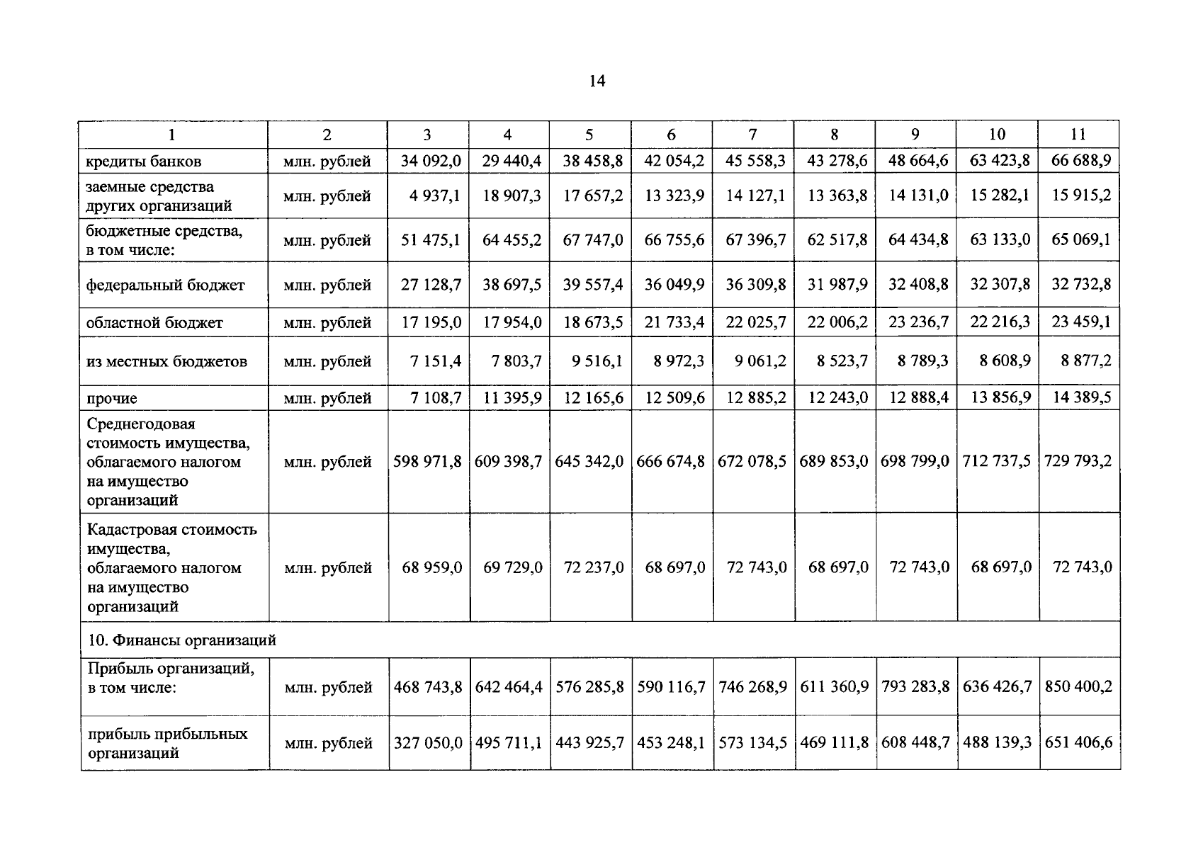
Страница №15 из 74:
Увеличить