Официальное опубликование правовых актов
ОФИЦИАЛЬНОЕ ОПУБЛИКОВАНИЕ
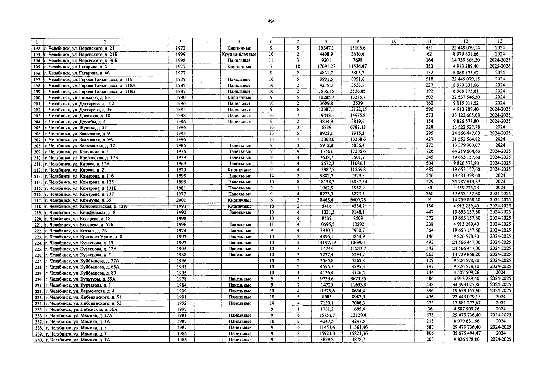
Постановление Правительства Челябинской области от 28.06.2024 № 400-П
"О краткосрочном плане реализации региональной программы капитального ремонта общего имущества в многоквартирных домах Челябинской области на 2024 - 2026 годы"
Номер опубликования: 7400202407020013
Дата опубликования: 02.07.2024
Страница №496 из 507:
Увеличить